Hola, me piden calcular la ecuación general de la recta que pasa por el punto A(5, 1) que tiene una inclinación de 135º. He utilizado que tgx=m y por ello m=-1; de forma que finalmente obtuve: x+y-6=0, estaría bien=?
Buenos días,
Me gustaría saber cómo calcular el porcentaje de similitud entre dos cadenas de palabras en función de una tercera.
Por ejemplo, tenemos:
Sabiendo esto, me gustaría saber:
Gracias y un saludo,
Juan

¡Hola! Nos encantaría ayudarte, pero no solemos responder dudas universitarias que no tengan que ver específicamente con los vídeos que David Calle ha grabado como excepción. O de otras asignaturas que no sean Matemáticas, Física y Química. Lo sentimos de corazón… Esperamos que lo entiendas.
Ojalá algún unicoo universitario se anime a ayudarte (de hecho, lo ideal es que todos los universitarios intentarais ayudaros los unos a los otros).
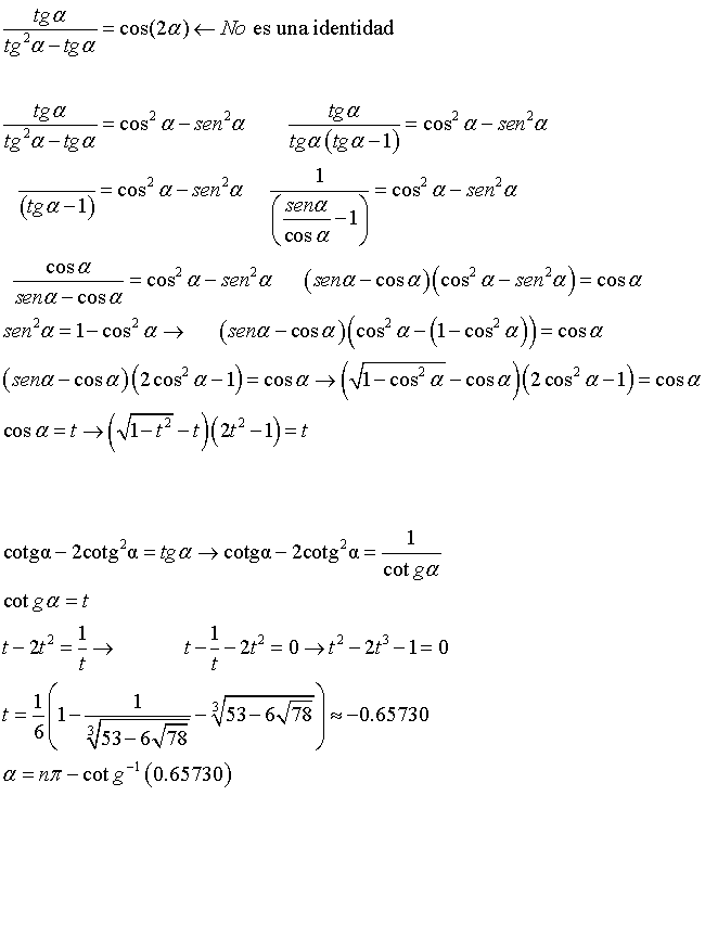
Holaa,
¿Cómo se demostrarían estas identidades trigonométricas? Es que llevo tiempo dándole vueltas y nada, no me sale. Graciaas.