Hola me gustaría plantear un problema de psicotécnicos.
El problema es el siguiente:
Un distribuidor cuenta con 10200 bombones de café, 30600 de toffee y 45000 de avellana. Busca una caja que albergue el mayor número de bombones posible. ¿Cuantos bombones albergará dicha caja?
La solución sería la c=600, según el solucionario.
Si alguien pudiera ayudarme con el planteamiento se lo agradecería porque yo no veo la manera de hacerlo.
Buenas tardes. Me pueden ayudar con este ejercicio?:
En un tetraedro regular de lado 8cm se dan los puntos P y Q situados en las alturas correspondientes al lado común de las caras ABC y DBC, a 1cm y 3cm de los vértices A y D respectivamente. Un insecto camina por las caras del tetraedro desde P a Q. ¿ Cuál es el trayecto de longitud mínima que puede recorrer? gracias
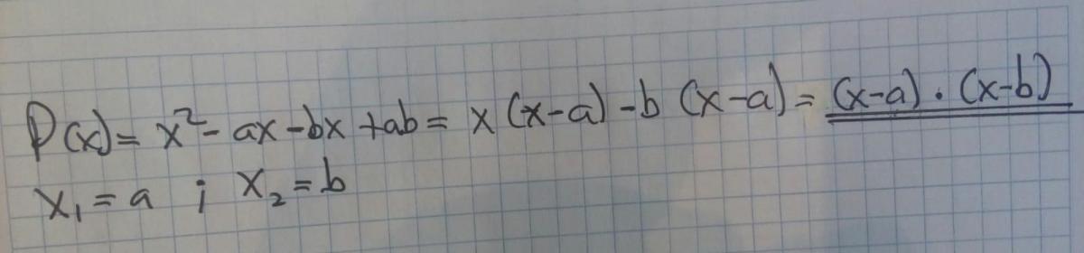
no entiendo, el segundo paso, cuando -bx + ab se transforma en -b(x-a) , por qué "-b "? por que " x-a " ? no debería ser o b (x+a) o -b(x+a) ? ![]()

Te lo explico de la siguiente forma:
1) Saca solo "b" de la expresión : -bx + ab
2) Te quedaría de esta forma: b(-x + a)
3) Ahora tienes que sacar el signo negativo ,al realizar este paso cambian los signos de "x" y "a" dado que se encuentran dentro de la paréntesis.
4) Los signos que ahora acompañarían a "x" y "a" son (+) y (-) ,respectivamente. Por ello la expresión obtenida es : -b(x-a)
Hola UNICOOS, alguien me podría ayudar?
Un banco concede un préstamo de 32000€ al 8.1% anual, en el momento de
gestionar el préstamo, cobran 480 € de gastos de administración. Si el
préstamo se devuelve al cabo de un año con plazos mensuales ¿Cuál es la
TAE?
porfi Cesar ayudame estoi en apuro mi profe de mate no me aiuda kon la tarea