Alguien me puede explicar por que es pi?
Sean f: ... una función diferenciable.... un punto,... un vector unitario y alfa el angulo entre u y ... Entonces ... cuando:
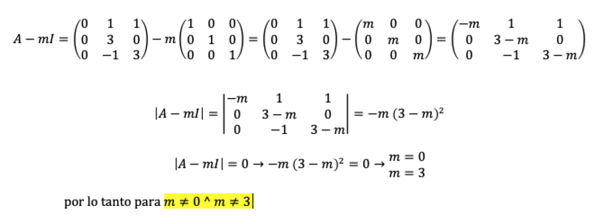
Hola. por favor tengo un problema.
La suma del cuadrado de dos números positivos consecutivos es 113

si analizas el enunciado lo veras claro:
la suma de los cuadrados seria algo como x^2 + x^2. Pero te dicen que tienen que se consecutivos, entonces seria x^2 + (x+1)^2.
Si resuelves la identidad notable que queda x^2 + x^2+2x+1 = 113, que es una ecuación de segundo grado, lo demás te lo dejo a ti. Seguramente dará 8 y 7.
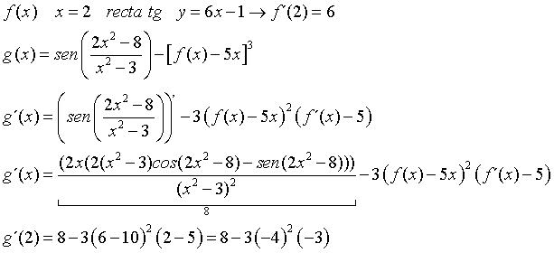
Hola, estoy preparandome para un parcial y en un parcial que tomaron el año pasado me encuentro con este problema que no se resolver. Quizas me puedan ayudar!
Lo que entinedo es que la derivada de f(x)= 6 (pendiente de la recta tangente) pero cuanto intento resolver aplicando derivadas en ambos lados me sigue quedando f(x) sin simplificar.
Desde ya muchas gracias!
Hola me podéis ayudar con este ejercicio pude calcular los lados serian:(50.591488876m y 34.79225854m) perimetro:(170.7675m) pero nose como calcular la altura para hallar la superficie y el resto de lo q pide
Las diagonales de un terreno tienen forma de paralelogramo miden 42m y 76m uno de los angulos q ellas forman es de 65 grados ¿cuál es la superficie del terreno? rta:1446.4672m2
Si lo dividieramos y quedaran dos triangulos oblicuangulos ¿cuanto valdrian los angulos interiores ?