Foro de preguntas y respuestas de Matemáticas

logo beUnicoos
Los foros de unicoos se han unificado en nuestra nueva plataforma beUnicoos. Para dejar nuevas preguntas deberás hacerlo allí, donde además podrás encontrar nuevas asignaturas y herramientas para ayudarte más con tus estudios.

  • icon

    Carlota Jiménez
    el 13/2/19

    Hola, alguien me puede responder si una discontinuidad evitable, una vez factorizada la función, nos puede dar un resultado 2/0 (que corresponde a una asíntota vertical)?

    Muchas gracias!!!!

    replythumb_up0 voto/sflag
    icon

    Antonio
    el 13/2/19

    No podría ser, si hay una asíntota vertical es una discontinuidad de salto y no evitable

    thumb_up3 voto/sflag
  • icon

    Gemma
    el 13/2/19

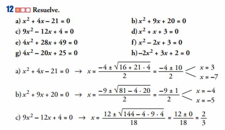
    Me podeis pasar páginas con ejercicios resultos de ecuaciones de segundo grado para 3 de ESO

    replythumb_up0 voto/sflag
    icon

    Antonio
    el 13/2/19


    thumb_up2 voto/sflag
    icon

    César
    el 13/2/19

    https://matematicasiesoja.files.wordpress.com/2018/10/ejercicios-de-ecuaciones-de-segundo-grado.pdf


    thumb_up1 voto/sflag
  • icon

    milagroscumbrerass
    el 13/2/19

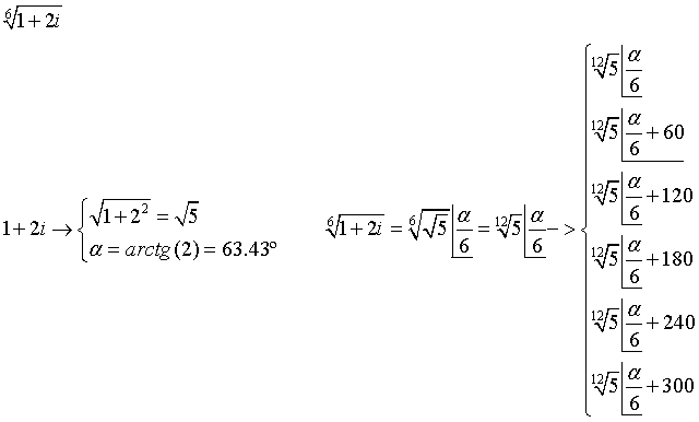
    Alguien me puede resolver este radical, dando las soluciones en forma polar. Por favor. Gracias

    replythumb_up0 voto/sflag
    icon

    César
    el 13/2/19


    thumb_up0 voto/sflag
  • icon

    Albert einstein
    el 13/2/19

    me podrían ayudar con el apartado a?, asi yo hago el b 

    replythumb_up0 voto/sflag
    icon

    César
    el 13/2/19

    icon

    Antonius Benedictus
    el 13/2/19


    thumb_up1 voto/sflag
  • icon

    Nabila
    el 13/2/19

    Hola alguien puede ayudar con este ejercicio

    replythumb_up0 voto/sflag
    icon

    César
    el 13/2/19



    thumb_up0 voto/sflag
  • icon

    airam
    el 13/2/19
    flag

    Un banco concede un préstamo de 32000€ al 8.1% anual. en el momento de gestionar el préstamo, cobran 480 € de gastos de administración. Si el préstamo se devuelve al cabo de un año con plazos mensuales ¿Cuál es la TAE?

    replythumb_up0 voto/sflag
    icon

    David
    el 21/2/19

    Lo siento pero no podemos ayudaros con dudas de la asignatura de economia. Por ahora.
    Espero lo entiendas.

    thumb_up0 voto/sflag
  • icon

    Quiroga
    el 13/2/19

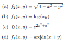
    Solo una de las siguientes funciones tiene el dominio acotado. Me pueden explicar que significa dominio acotado? Entiendo que todas estas funciones excepto c) están acotadas de cierta manera. 


    replythumb_up0 voto/sflag
    icon

    Carlota Jiménez
    el 13/2/19

    Creo que se refiere a que esta su dominio esta delimitado por un intervalo, es decir comprendido entre dos números.

    thumb_up0 voto/sflag
  • icon

    Rafael
    el 13/2/19

    Hola me pueden ayudar con el ejercicio 1d y el 2. Gracias

    replythumb_up0 voto/sflag
    icon

    César
    el 13/2/19


    thumb_up0 voto/sflag
    icon

    Rafael
    el 13/2/19

    Hola César, algunas soluciones  del primer apartado no se corresponden con los enunciados. El ejercicio 2 está entendido. Muchas gracias, un saludo.

    thumb_up0 voto/sflag
  • icon

    Luis angel Candia
    el 13/2/19

    -12×-6y+18=0

    replythumb_up0 voto/sflag
    icon

    César
    el 13/2/19

    Enunciado por favor .

    thumb_up0 voto/sflag
  • icon

    Angeles
    el 13/2/19

    Buenas noches unicoos! Les paso un ejercicio que me tomaron en un examen y no supe resolverlo para ver si me ayudann..



    replythumb_up0 voto/sflag
    icon

    César
    el 13/2/19


    thumb_up1 voto/sflag