Foro de preguntas y respuestas de Matemáticas

logo beUnicoos
Los foros de unicoos se han unificado en nuestra nueva plataforma beUnicoos. Para dejar nuevas preguntas deberás hacerlo allí, donde además podrás encontrar nuevas asignaturas y herramientas para ayudarte más con tus estudios.

  • icon

    Uriel Dominguez
    el 16/2/19

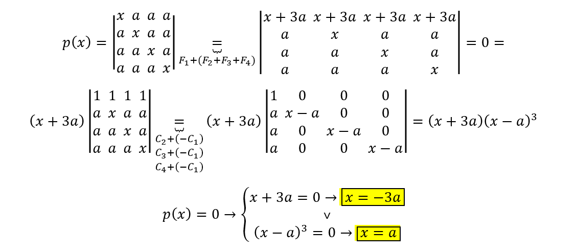
    Me ayudan con el siguiente ejercicio? Por favor 

    replythumb_up0 voto/sflag
    icon

    Antonius Benedictus
    el 16/2/19


    thumb_up1 voto/sflag
  • icon

    Rodrigo Loos
    el 16/2/19

    Hola, necesito saber como comparar dos transformaciones lineales.

    por ej: 

        si T1 = T2, donde T1,T2 : R3 → R3 tales que:

            T1((1,0,1)) = (1,2,1) y T2((1,1,1)) = (1,1,0)


    replythumb_up0 voto/sflag
    icon

    Antonius Benedictus
    el 16/2/19

    Enunciado original, por favor.

    thumb_up1 voto/sflag
    icon

    Rodrigo Loos
    el 16/2/19

    thumb_up0 voto/sflag
  • icon

    Diana Paz
    el 16/2/19

    hola alguien que me explique como se hace este ejercicio. gracias


    replythumb_up0 voto/sflag
    icon

    Antonius Benedictus
    el 16/2/19


    thumb_up1 voto/sflag
  • icon

    Nick Specter
    el 15/2/19

    unicoos agradecería su ayuda con la resolución de este ejercicio. 


    replythumb_up0 voto/sflag
    icon

    César
    el 16/2/19

    Solo temas que abarquen Bachiller, ojalá alguien pueda ayudarte.

    thumb_up0 voto/sflag
  • icon

    Javier
    el 15/2/19

    Una pequeña pregunta, cuál es la derivada de landa?

    replythumb_up0 voto/sflag
    icon

    Antonius Benedictus
    el 15/2/19

    Depende de que sea o no la variable independiente. 

    Si es un valor constante, es 0.

    thumb_up0 voto/sflag
  • icon

    Bernardo
    el 15/2/19
    flag

     

    Necesito saber la matriz que indica el nº de conexiones con menos de cuatro tramos. El grafo ya lo tengo hecho y los otros apartados también, se que la matriz es simétrica y que el grafo es no dirigido. La duda que tengo es si haciendo A^4-A me da lo que busco.


    Gracias

    replythumb_up0 voto/sflag
    icon

    David
    el 21/2/19

    Lo siento de corazon pero no entiendo tu duda... Siento no poder ayudarte.

    thumb_up0 voto/sflag
  • icon

    Silvio Aguirre
    el 15/2/19

    hola. alguien me podría ayudar con este problema por favor:

    Muchísimas gracias!

    replythumb_up0 voto/sflag
    icon

    César
    el 16/2/19


    thumb_up1 voto/sflag
  • icon

    Rodrigo Loos
    el 15/2/19
    flag

    Necesito ayuda con este ejercicio

    replythumb_up0 voto/sflag
    icon

    Antonio Silvio Palmitano
    el 15/2/19

    Vamos con el primero, a modo de orientación.

    1°)

    Planteas la igualdad vectorial:

    <1,1> - <-1,1> = <2,0>, extraes el factor escalar en el segundo miembro, y queda:

    <1,1> - <-1,1> = 2*<1,0>,

    planteas la transformación lineal en ambos miembros (recuerda que puedes separar en términos y puedes extraer factores escalares), y queda:

    T1(<1,1>) - T1(<-1,1>) = 2*T1(<1,0>), reemplazas expresiones, y queda:

    <2,6> - <2,1> = 2*T1(<1,0>), resuelves el primer miembro, y queda:

    <0,5> = 2*T1(<1,0>), multiplicas por 1/2 en ambos miembros, y queda:

    (1/2)*<0,5> = T1(<1,0>), resuelves el primer miembro, y queda:

    <0,5/2> = T1(<1,0>), que es la expresión del transformado del primer vector canónico.

    2°)

    Planteas la igualdad vectorial:

    <1,1> + <-1,1> = <0,2>, extraes el factor escalar en el segundo miembro, y queda:

    <1,1> + <-1,1> = 2*<0,1>,

    planteas la transformación lineal en ambos miembros (recuerda que puedes separar en términos y puedes extraer factores escalares), y queda:

    T1(<1,1>) + T1(<-1,1>) = 2*T1(<0,1>), reemplazas expresiones, y queda:

    <2,6> + <2,1> = 2*T1(<0,1>), resuelves el primer miembro, y queda:

    <4,7> = 2*T1(<0,1>), multiplicas por 1/2 en ambos miembros, y queda:

    (1/2)*<4,7> = T1(<0,1>), resuelves el primer miembro, y queda:

    <2,7/2> = T1(<0,1>), que es la expresión del transformado del segundo vector canónico.

    3°)

    Planteas la igualdad vectorial:

    <3,7> = <3,0> + <0,7>, extraes factores escalares en el segundo miembro, y queda:

    <3,7> = 3*<1,0> + 7*<0,1>,

    planteas la transformación lineal en ambos miembros (recuerda que puedes separar en términos y puedes extraer factores escalares), y queda:

    T1(<3,7>) = 3*T1(<1,0>) + 7*T1(<0,1>), reemplazas expresiones, y queda:

    T1(<3,7>) = 3*<0,5/2> + 7*<2,7/2>, resuelves los productos en el segudo miembro, y queda:

    T1(<3,7>) =<0,15/2> + <14,49/2>, resuelves la suma vectorial, y queda:

    T1(<3,7>) =<14,32>,

    y como tienes que coincide con la expresión que tienes en tu enunciado, puedes concluir que si existe alguna transformación lineal que verifique las condiciones establecidas.

    Puedes aplicar un procedimiento similar para abordar los demás ejercicios, haz el intento, y si te resulta necesario no dudes en volver a consultar.

    Espero haberte ayudado.

    thumb_up1 voto/sflag
  • icon

    Andres Montoro Menor
    el 15/2/19
    flag

    Me pueden ayudar, no se como hacerlo

    replythumb_up0 voto/sflag
    icon

    David
    el 5/3/19

    Si no adjuntas el enunciado completo y nos das pistas al menos del tema al que pertenece, no podemos ayudarte, lo siento... 

    thumb_up1 voto/sflag
    icon

    Andres Montoro Menor
    el 11/3/19

    La otra parte del enunciado no te dice nada para esta pregunta. 

    Solo se que tengo que aplicar esta formula: TI= nºcasos nuevos de una enfermedad/personas-tiempo en riesgo de todos los individuos del estudio

    Pero al variar el numero de años de cada persona no se como se haría. 

    thumb_up0 voto/sflag
  • icon

    Jhonaiker Blanco
    el 15/2/19

    por favor podrian ayudarme con este ejercicio

    replythumb_up0 voto/sflag
    icon

    Antonius Benedictus
    el 15/2/19


    thumb_up1 voto/sflag
    icon

    Jhonaiker Blanco
    el 18/2/19

    Por qué los cosenos son divididos entre 4?


    thumb_up0 voto/sflag