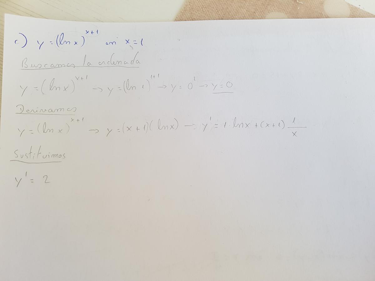
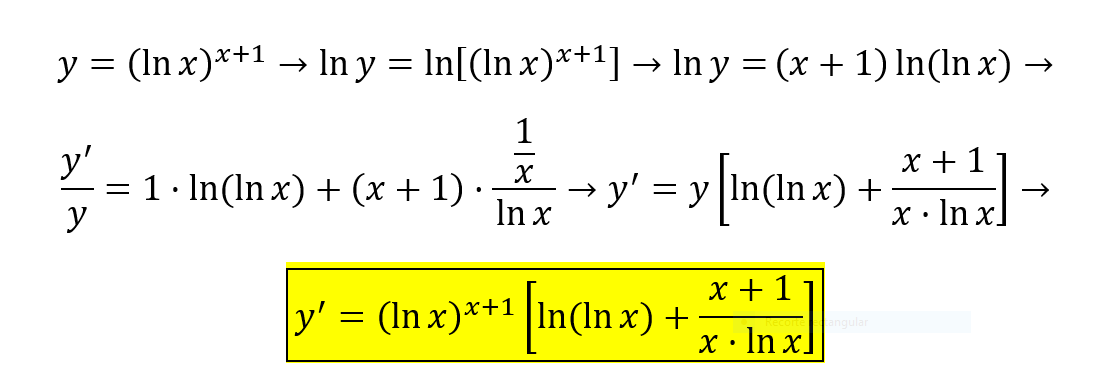
No entiendo que puede estar mal en este ejercicio de derivación implícita, la derivada tiene que darme como resultado 0. Agradecería vuestra ayuda
Hola, me gustaría saber porque quitaron el vídeo de monomios.
gracias

Halla la probabilidad de que sean del mismo color...
P(mismo color)= P(las dos sean rojas) + P(las dos sean blancas) + P(las dos sean negras) = (8/20)(8/20) + (7/20)(7/20) + (5/20)(5/20) = 64/400 + 49/400 + 25/400 = 138/400
Y ahora, probabilidad condicionada P(sean rojas / mismo color) = P(A∩B) / P(B) = (64/400) / (138/400) = 64/138