
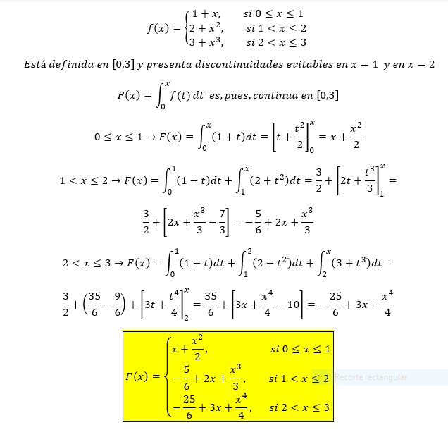
Hola quisiera saber si me pueden ayudar a desarrollar la siguiente pregunta correspondiente a Integrales definidas![]()

Hola profesor,
no he podido realizar preguntas por el foro entonces quisiera saber si me podria ayudar ocn el siguiente problema
En la competencia olímpica de marcha o caminata, se supone que el atleta no debe flotar; es decir, debe mantener siempre contacto con el piso. Sin embargo, los vídeos muestran de manera inequívoca que aproximadamente el 80% de los marchistas flotan en algún momento de la competencia. Por otra parte, los jueces que tienen la función de amonestar a aquellos marchistas que flotan suelen equivocarse a veces, de tal manera que el 10% de las veces amonestan a los que no flotan, mientras que el 30% de las veces pasan desapercibidas las flotaciones de los marchistas. Si el ganador de una competencia no recibió ninguna amonestación, ¿cuál es la probabilidad de que realmente no haya flotado?
muchas gracias!
Hola, entiendo el teorema I.30 pero no me cuadra para nada el teorema I.31 ,mucho menos su demostración, agradecería una explicación, un link, algo que me ayude a entenderlo, gracias.