Foro de preguntas y respuestas de Matemáticas

logo beUnicoos
Los foros de unicoos se han unificado en nuestra nueva plataforma beUnicoos. Para dejar nuevas preguntas deberás hacerlo allí, donde además podrás encontrar nuevas asignaturas y herramientas para ayudarte más con tus estudios.

  • icon

    jonathan vaccaro
    el 7/2/19

    Hola, una ayuda con este planteamiento, porfa


    replythumb_up0 voto/sflag
    icon

    Amin zine
    el 7/2/19


    thumb_up1 voto/sflag
  • icon

    Amin zine
    el 7/2/19


    Hola, el apartado a es fácil, es una binomial. Lo que no se hacer es el b, que no me pide una probabilidad si no una nota. 

    Y el apartado c no estoy seguro pero creo que es : desviacion típica = npq = sprt( 10*0.25*0.75)  o simplemente np, no se. 

    espero que alguien me pueda resolver el apartado b y si es posible el c tambien. 

    Muchas gracias. 

    replythumb_up0 voto/sflag
    icon

    Antonius Benedictus
    el 7/2/19


    thumb_up0 voto/sflag
  • icon

    Amin zine
    el 6/2/19




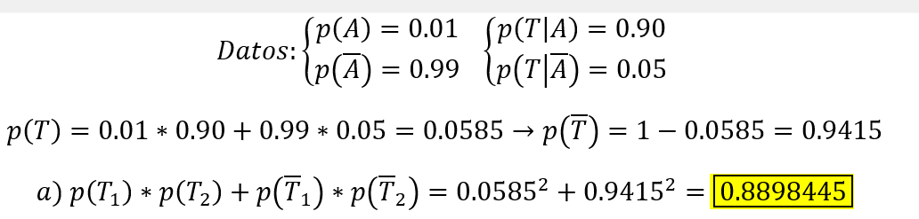
    Hola, he adjuntado el enunciado y la solución del apartado a que me ha hecho el profesor Antonio, tenía la solucion de un amigo pero resolvía solo p(T)= 0.0585 y p(T negada)=0.9415.   NO tenia el ultimo paso que hizo el profesor, todavía no logro entender porque ha hecho lo que ha hecho para obtener el resultado final 0.889845.


    Y por favor necesito la solución del apartado b tambien. 

    replythumb_up0 voto/sflag
    icon

    David
    el 21/2/19

    Deberías dejar esta duda como respuesta a la respuesta que te dió Antonio, para que pueda seguir ayudandote. Abrazo

    thumb_up0 voto/sflag
  • icon

    vanesa
    el 6/2/19

    Tema: Fracciones

    Me podéis ayudar a resolverlo? Gracias!

    En un concesionario de vehículos hay 12 vehículos nuevos más que viejos..siendo los viejos los 2/5 del total. ¿cuántos vehículos hay en total? Y cuántos hay nuevos y cuántos viejos?

    replythumb_up0 voto/sflag
    icon

    Amin zine
    el 7/2/19


    thumb_up0 voto/sflag
  • icon

    vanesa
    el 6/2/19

    Me podéis ayudar a resolverlo? Gracias!

    En un concesionario de vehículos hay 12 vehículos nuevos más que viejos..siendo los viejos los 2/5 del total. ¿cuántos vehículos hay en total? Y cuántos hay nuevos y cuántos viejos?


    replythumb_up0 voto/sflag
    icon

    Guillem De La Calle Vicente
    el 6/2/19


    thumb_up0 voto/sflag
    icon

    vanesa
    el 6/2/19

    Estamos con las fracciones....

    thumb_up0 voto/sflag
  • icon

    MARI JOSE
    el 6/2/19
    flag

    Hola, alguien me puede ayudar con esto?

    Si tomamos un número como el 16, lo descomponemos en sumas diferentes:

    6+10

    4+5+7

    1+3+3+9

    ......

    ......

    Si calculamos el producto de todos los sumandos observamos que se obtienen distintos resultados

    6*10=60

    4*5*7=140

    1*3*3*9=81

    ¿ Cuál es la descomposición que da mayor producto? ¿ Cuál es la estrategia para obtener el mayor producto de un número natural cualquiera?

    Gracia!!

    replythumb_up0 voto/sflag
    icon

    David
    el 21/2/19

    Duda compleja y de bastante nivel. No podemos ayudarte en este foro, orientado sobre todo a dudas preuniversitarias. Espero lo entiendas.

    thumb_up0 voto/sflag
  • icon

    Bryam Maldonado
    el 6/2/19

    Me podrian ayudar con este ejerciciopor favor

    Encuentre el volumen de un cono circular recto con altura h, radio de la base r.

    replythumb_up0 voto/sflag
    icon

    César
    el 6/2/19

    área y  volumen

    Generatriz del cono

    g lo obtienes por Pitagoras   g=√(r^2+h^2)

    thumb_up0 voto/sflag
  • icon

    MDY01
    el 6/2/19

    alguien me ayuda con el 203?

    replythumb_up0 voto/sflag
    icon

    Guillem De La Calle Vicente
    el 6/2/19


    thumb_up2 voto/sflag
  • icon

    milagroscumbrerass
    el 6/2/19

    Alguien me resuelve la actividad 9 y 10.Gracias . Por favor

    replythumb_up0 voto/sflag
    icon

    Guillem De La Calle Vicente
    el 6/2/19


    thumb_up0 voto/sflag
  • icon

    Paula
    el 6/2/19

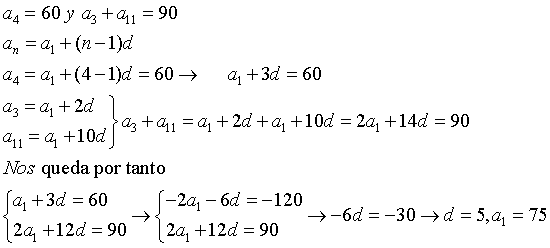
    Hola, se averiguar en una progresión aritmética la diferencia cuando me dan dos valores de a, pero tengo una duda con un ejercicio donde me dan los siguientes valores:

    a4=60 y a3+a11=90

    al ser una suma de dos valores de a....ya no se que debo hacer.... gracias.

    replythumb_up0 voto/sflag
    icon

    Guillem De La Calle Vicente
    el 6/2/19


    thumb_up1 voto/sflag
    icon

    César
    el 6/2/19


    thumb_up0 voto/sflag
    icon

    Guillem De La Calle Vicente
    el 6/2/19

    César tienes un error cuando haces a_3 + a_{11} = 2a_1 + 12d, has puesto 14d.

    Saludos.

    thumb_up0 voto/sflag
    icon

    César
    el 6/2/19

    Si cierto pero esta correctamente  resuelto , gracias.

    thumb_up0 voto/sflag