Foro de preguntas y respuestas de Matemáticas

logo beUnicoos
Los foros de unicoos se han unificado en nuestra nueva plataforma beUnicoos. Para dejar nuevas preguntas deberás hacerlo allí, donde además podrás encontrar nuevas asignaturas y herramientas para ayudarte más con tus estudios.

  • icon

    Sebastian Quintero
    el 29/1/19

    Hola buenas tardes solicito ayuda o alguna indicacion para resolver los numerales 18-19-20.

    Gracias de antemano.

    replythumb_up0 voto/sflag
    icon

    Antonius Benedictus
    el 30/1/19


    thumb_up1 voto/sflag
    icon

    César
    el 30/1/19


    thumb_up1 voto/sflag
  • icon

    umayuma
    el 29/1/19

    Hola necesito ayuda para resolver este sistema de ecuaciones paso a paso para hallar s = -80/3 = -26,7 cm,por favor.

    Gracias!

    replythumb_up0 voto/sflag
    icon

    César
    el 1/2/19


    thumb_up0 voto/sflag
  • icon

    Facundo
    el 29/1/19

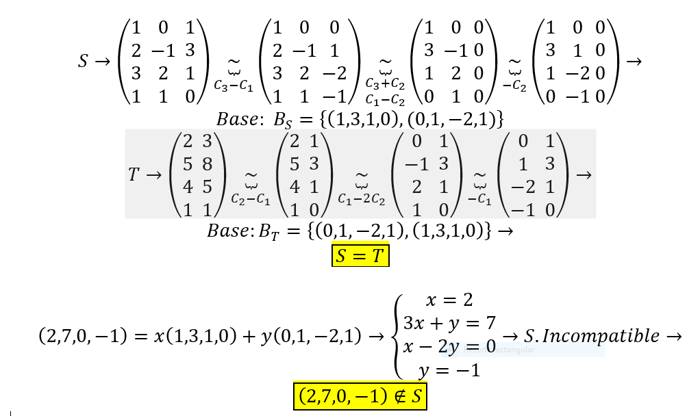
    Buenas tardes. Me podrían ayudar con este ejercicio? Muchas gracias


    replythumb_up0 voto/sflag
    icon

    Antonius Benedictus
    el 29/1/19


    thumb_up0 voto/sflag
  • icon

    Sebastian Quintero
    el 29/1/19

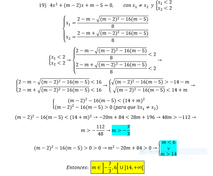
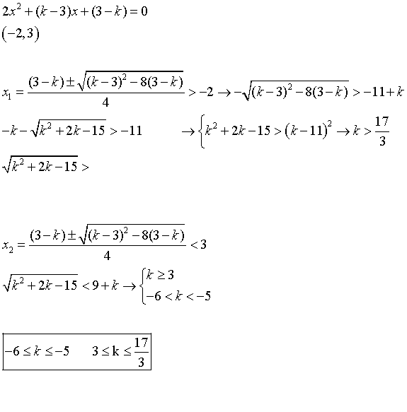
    Hola buenas tardes solicito su ayuda para resolver este ejercicio.

    Gracias de antemano

    replythumb_up0 voto/sflag
    icon

    Antonius Benedictus
    el 29/1/19



    thumb_up1 voto/sflag
    icon

    Sebastian Quintero
    el 29/1/19

    Muchas gracias me habia hecho un caos resolviendo este ejercicio y no sabia por donde agarrarlo

    thumb_up1 voto/sflag
    icon

    César
    el 29/1/19


    thumb_up1 voto/sflag
  • icon

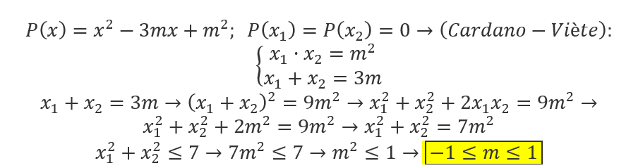
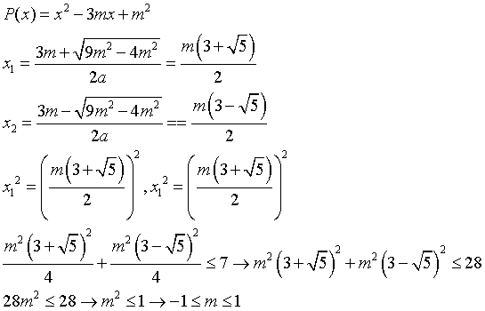
    Irene
    el 29/1/19

    Hola. No se muy bien como hacer el apartado c de este ejercicio. Si alguien me ayuda me haría un favor enorme. Muchas gracias  (la función escrita a boli al final es la que hay que estudiar)


    replythumb_up0 voto/sflag
    icon

    Antonius Benedictus
    el 29/1/19


    thumb_up0 voto/sflag
    icon

    César
    el 29/1/19


    thumb_up0 voto/sflag
  • icon

    IRENE
    el 29/1/19

    Hola buenas, me han mandaod este ejercicio de física y no soy capaz de resolverlo.Me podrían ayudar ?

    Un costal de arena de 3 kg se encuentra colgando de un hilo fuerte de longitud 0,75 m.Sobre el costal se dispara un fusil cuya bala tiene una mas de 50 gr.La bala atraviesa el costaly recorre una distancia horizontal de 25 mantes de golpear el sueloque se encuentra a una altura de 1,3 m por debajo del impacto en el costal.Calula a) la velocidad de la bala después del choque b)la velocidad del costal después del choque c) l avelocidad de la bala antes del choque d)la energía perdida al atravesar la bala el costal

    Muchas gracias, es que solo he sido capaz de resolver el a y ni siquiera se si estará bien

    replythumb_up0 voto/sflag
    icon

    Antonius Benedictus
    el 29/1/19

    Mejor en el foro de Física, por favor.

    thumb_up0 voto/sflag
    icon

    IRENE
    el 1/2/19

    me equivoque, lo siento


    thumb_up0 voto/sflag
  • icon

    Claudia
    el 29/1/19


    replythumb_up0 voto/sflag
    icon

    Antonius Benedictus
    el 29/1/19

  • icon

    Claudia
    el 29/1/19


    replythumb_up0 voto/sflag
    icon

    Antonius Benedictus
    el 29/1/19

  • icon

    Claudia
    el 29/1/19


    replythumb_up0 voto/sflag
    icon

    Antonius Benedictus
    el 29/1/19

  • icon

    Isabel Sanchez
    el 29/1/19

    HOLA UNICOOS. ALGUIEN ME PUEDE AYUDAR CON LA SIGUIENTE ACTIVIDAD?

    Calcular en forma paramétrica la longitud y área de un círculo de radio r.

    MUCHAS GRACIAS!!!

    replythumb_up0 voto/sflag
    icon

    Antonio
    el 29/1/19

    https://www.universoformulas.com/matematicas/geometria/ecuacion-parametrica-circunferencia/


    thumb_up1 voto/sflag