Foro de preguntas y respuestas de Matemáticas

logo beUnicoos
Los foros de unicoos se han unificado en nuestra nueva plataforma beUnicoos. Para dejar nuevas preguntas deberás hacerlo allí, donde además podrás encontrar nuevas asignaturas y herramientas para ayudarte más con tus estudios.

  • icon

    Agustin
    el 29/1/19

    sen α + sen β =3/2


    cos α + cos β =(√3)/2

    replythumb_up0 voto/sflag
    icon

    Antonius Benedictus
    el 29/1/19

    ¡Buenos días!

    thumb_up0 voto/sflag
    icon

    Agustin
    el 29/1/19

    Hola Antonio. Buenos días.


    thumb_up0 voto/sflag
    icon

    Antonius Benedictus
    el 29/1/19


    thumb_up0 voto/sflag
  • icon

    Marco
    el 29/1/19

    Buenos dias, seria posible resolver esta integral publicada en un video por David, de esta forma?


    replythumb_up0 voto/sflag
    icon

    Antonius Benedictus
    el 29/1/19

    Esto no es correcto:

    Quedaría (x-3)^(2/3)

    thumb_up1 voto/sflag
  • icon

    Diego Mauricio Heredia
    el 29/1/19

    Hola, ayuden por favor con la 8 y 9 no entiendo. Por favor gracias de antemano 

    replythumb_up0 voto/sflag
    icon

    Antonius Benedictus
    el 29/1/19


    thumb_up0 voto/sflag
    icon

    Antonius Benedictus
    el 29/1/19


    thumb_up0 voto/sflag
  • icon

    AnDres Navarrete
    el 29/1/19

    Ayuda a mis amigos de Unicos salven a mi amigo por favor.


    replythumb_up0 voto/sflag
    icon

    Antonius Benedictus
    el 29/1/19


    thumb_up1 voto/sflag
  • icon

    Diego Mauricio Heredia
    el 29/1/19

    Ayuda por favor con el ejercicio 7 


    replythumb_up0 voto/sflag
    icon

    Antonius Benedictus
    el 29/1/19


    thumb_up0 voto/sflag
    icon

    Antonius Benedictus
    el 29/1/19


    thumb_up0 voto/sflag
  • icon

    Diego Mauricio Heredia
    el 29/1/19

    Hola alguien me puede ayudar por favor con el ejercicio g6???? Por favor


    replythumb_up0 voto/sflag
    icon

    Neofito 007
    el 29/1/19

    también resuelto el de arriba

    thumb_up0 voto/sflag
  • icon

    Y3
    el 28/1/19

    Esto es correcto? Gracias 

    replythumb_up0 voto/sflag
    icon

    Antonius Benedictus
    el 28/1/19

    No. 

    tan(180º+a)= tan(a).

    thumb_up1 voto/sflag
    icon

    Neofito 007
    el 28/1/19

    lo señalado es incorrecto ya que lo correcto es 

    Tan(180° + @) = Tan@


    thumb_up1 voto/sflag
  • icon

    Miriam
    el 28/1/19

    hola. Haber si alguien me puede sacar de la duda .En el ejercicio me manda hallar el valor de x en cada caso,y me dan unas figuras : me dan un rectángulo que tiene de perímetro 28 metros cuadrados y me dice que el lado mayor es x+2 y el lado menor x-1 ?????????????????????



    replythumb_up0 voto/sflag
    icon

    Neofito 007
    el 28/1/19

    El perímetro es la suma de los cuatro lados

    x+2 + x+2 + x-1 + x-1 = 28

    4x + 2 = 28

    4x = 28 - 2 = 26

    x = 26/4 = 13/2 


    Por cierto el perímetro no se mide en unidades cuadradas sino lineales acá debería decir 28 metros  no m²

    O quizá te decían Área en el ejercicio ???




    thumb_up0 voto/sflag
  • icon

    Y3
    el 28/1/19

    Alguien me lo puede corregir por faa graciaas

    replythumb_up0 voto/sflag
    icon

    Antonio Silvio Palmitano
    el 28/1/19

    Todo el planteo que has hecho está correcto.

    Solo debes revisar el cálculo que tienes cuando reemplazas valores en la ecuación que obtuviste al aplicar el Teorema del Coseno.

    Espero haberte ayudado.

    thumb_up1 voto/sflag
  • icon

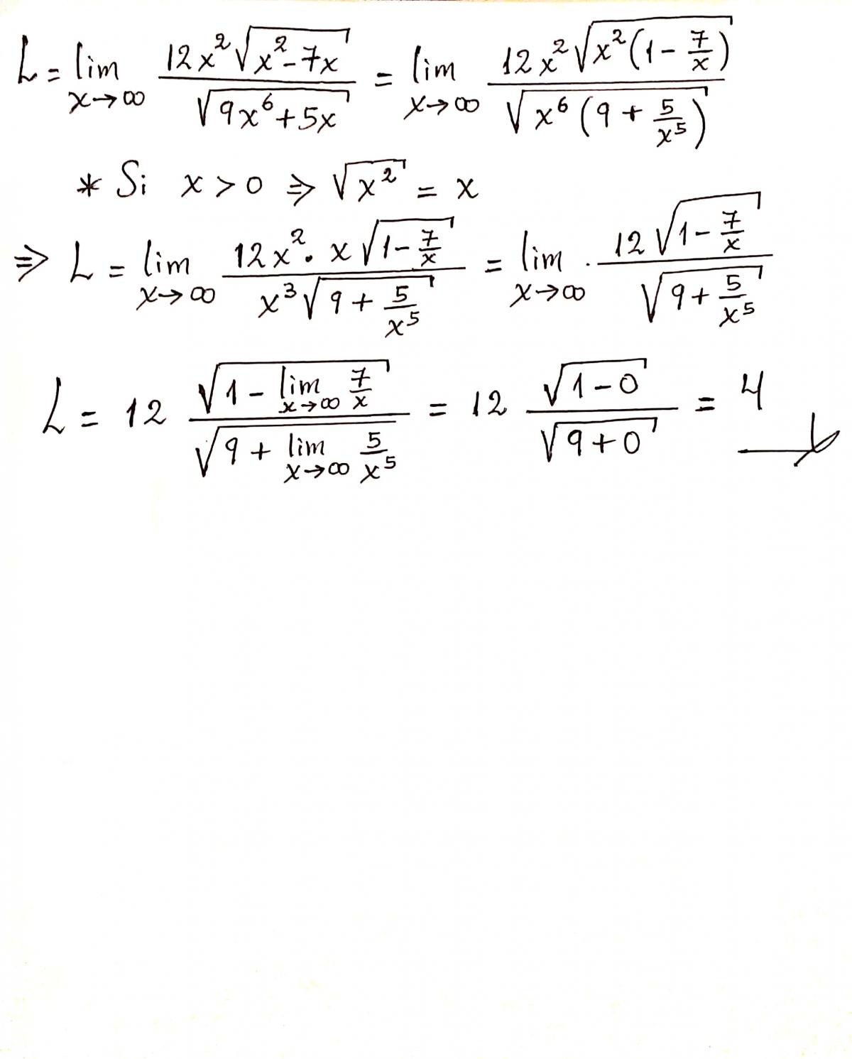
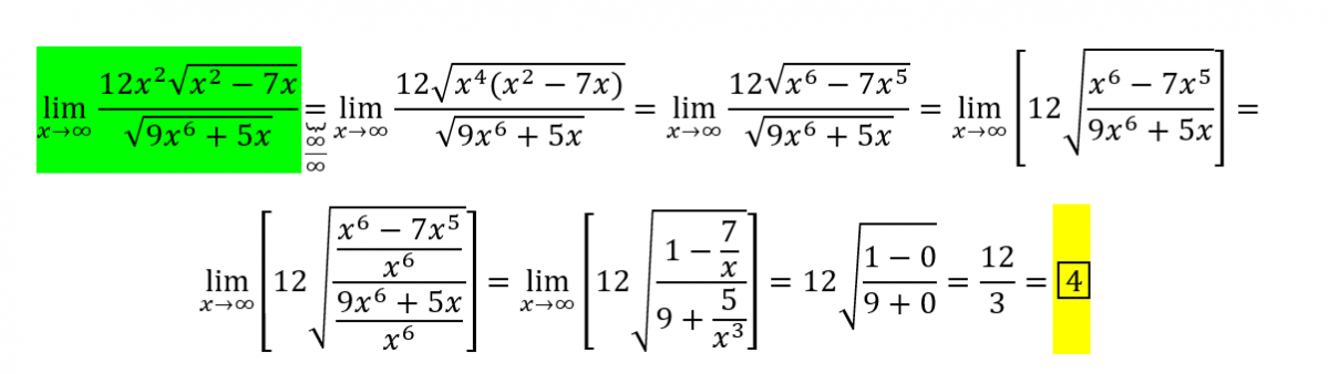
    Fernando
    el 28/1/19

    ¿Cómo se resuelve este limite?

    lim  (12x • √(x2 -7x)) ÷ √(9x6 +5x)

    x→∞

    replythumb_up0 voto/sflag
    icon

    Antonius Benedictus
    el 28/1/19


    thumb_up1 voto/sflag
    icon

    Neofito 007
    el 28/1/19


    thumb_up1 voto/sflag