Foro de preguntas y respuestas de Matemáticas

logo beUnicoos
Los foros de unicoos se han unificado en nuestra nueva plataforma beUnicoos. Para dejar nuevas preguntas deberás hacerlo allí, donde además podrás encontrar nuevas asignaturas y herramientas para ayudarte más con tus estudios.

  • icon

    Bryam Maldonado
    el 27/1/19

    Ayuda con este ejercicio por favor 


    replythumb_up0 voto/sflag
    icon

    Antonius Benedictus
    el 27/1/19

    Mejor en el foro de Física, ¿no?

    thumb_up0 voto/sflag
  • icon

    Javier
    el 27/1/19

    Hola, me ayudáis con este ejercicio? calcula los lados de un triángulo rectángulo sabiendo que sus mediadas, expresadas en cm,están en progresión aritmética de diferencia 5

    replythumb_up0 voto/sflag
    icon

    Antonius Benedictus
    el 27/1/19


    thumb_up0 voto/sflag
  • icon

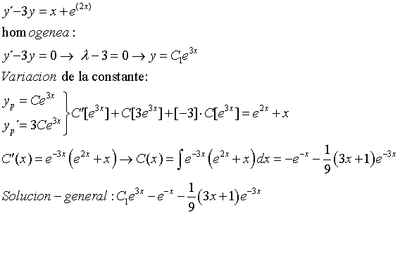
    Paula LL
    el 27/1/19

    hola! la resolución de esta EDO seria correcta? Muchas gracias

    replythumb_up0 voto/sflag
    icon

    Antonius Benedictus
    el 27/1/19


    thumb_up0 voto/sflag
    icon

    Antonius Benedictus
    el 27/1/19


    thumb_up0 voto/sflag
    icon

    César
    el 27/1/19



    thumb_up0 voto/sflag
  • icon

    Miguel
    el 27/1/19

    Hola muy buenas, me podríais ayudar con este ejercicio?

    Calcula la función primitiva de f(x) que pase por el punto (e,2). Puedes utilizar el cambio de variable de t = ln x para calcular una primitiva de f(x).


    replythumb_up0 voto/sflag
    icon

    Antonius Benedictus
    el 27/1/19


    thumb_up1 voto/sflag
  • icon

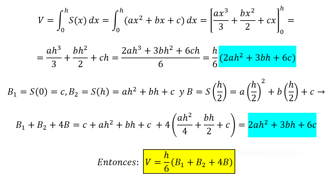
    Bryam Maldonado
    el 27/1/19

    me podrían ayudar con este ejercicio les agradeceria mucho por favor

    1. Un prismatoide es un solido con la propiedad de que las áreas de las secciones que se obtienen al cortarlo con planos paralelos a un plano fijo y una distancia x de este ultimo esta dados por ax^2+bx+c donde a,b,c son números reales. Demuestre que el volumen V de un prismatoide esta dado por V=(h/6)(B1+B2+4B) donde B1 y B2 son las áreas de las bases, B es el área de la sección paralela de las bases que se encuentran a la mitad de la distancia entre ellas, y h es la distancia entre las bases. Demuestre que un cono circular recto truncado de altura h y cuyas bases tienen radios a y b tienen como volumen V=(πh/3)(a^2+ab+b^2).

    replythumb_up0 voto/sflag
    icon

    Antonius Benedictus
    el 27/1/19


    thumb_up1 voto/sflag
    icon

    Antonius Benedictus
    el 27/1/19


    thumb_up1 voto/sflag
  • icon

    dAmian
    el 27/1/19

    Hola podrían responder a la pregunta que hice más abajo? No comprendo bien si está bien lo que he hecho o no, ppr favor y gracias

    replythumb_up0 voto/sflag
    icon

    Antonio Silvio Palmitano
    el 27/1/19

    Ya tienes una orientación en tu consulta anterior, Jorge.

    thumb_up0 voto/sflag
  • icon

    Ayoub Akali Akalai
    el 27/1/19

    No entiendo nada,necesito ayuda por favor gracias

    replythumb_up0 voto/sflag
    icon

    Guillem De La Calle Vicente
    el 27/1/19


    thumb_up2 voto/sflag
    icon

    Guillem De La Calle Vicente
    el 27/1/19


    thumb_up2 voto/sflag
  • icon

    Rosa Piedra Del Valle
    el 27/1/19

    Sigo sin entender como represento la gráfica si solo hemos dado con positivos, algún vídeo de explicación

    replythumb_up0 voto/sflag
    icon

    Carlos Martinez
    el 27/1/19

    Te mando una solución. La grafica la puedes graduar como te sea mas practico. Si quieres la puedes graduar desde 0 a 20 y considerar que el punto de tomar tierra es el 10

    thumb_up0 voto/sflag
  • icon

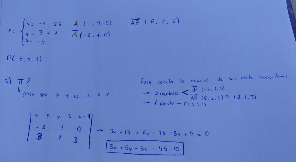
    Fabio Velasco
    el 27/1/19

    Me piden un plano perpendicular a la recta r y que contiene a P. Yo he cogido un punto (A) a partir de la ecuación de la recta y con él, junto al punto P, he formado el vector AP. A partir del vector director de la recta, del vector AP y del punto P, he hallado la ecuación del plano. Esta bien??

    Muchas gracias.

    replythumb_up0 voto/sflag
    icon

    Antonius Benedictus
    el 27/1/19


    thumb_up0 voto/sflag
  • icon

    Fernando
    el 27/1/19

    Buenos dias,estoy realizando el examen de geometria analitica, y el resultado no me logra dar igual. Me pide: obtener la recata perpendicular a r: 3x-y+2=0 , que pase por el punto P(1,-2). Mi resultado es x+3y+5=0. Es correcto?. Es que no me da igual que en la resolucion del examen. Muchas gracias.

    replythumb_up0 voto/sflag
    icon

    César
    el 27/1/19

    La solucion que pones es correcta Fernando


    thumb_up0 voto/sflag