Foro de preguntas y respuestas de Matemáticas

logo beUnicoos
Los foros de unicoos se han unificado en nuestra nueva plataforma beUnicoos. Para dejar nuevas preguntas deberás hacerlo allí, donde además podrás encontrar nuevas asignaturas y herramientas para ayudarte más con tus estudios.

  • icon

    Erick Zambrana
    el 26/1/19

    Buenos dias unicoos ayuda con este problema por favor 

    replythumb_up0 voto/sflag
    icon

    Antonius Benedictus
    el 26/1/19

    Revisa las operaciones.


    thumb_up1 voto/sflag
  • icon

    Amanda
    el 26/1/19

    Hola... tengo una duda que no consigo resolver...


    Si en una casa se dividen los gastos de luz por persona y día... y llega una factura de 115,02€ de durante 34 días... y Juan estuvo sólo 14 días, Eva 26 días y Blanca estuvo los 34 días... ¿Cuánto debe pagar cada uno?


    He dividido los 115,02€ entre 34 días... y me da 3,38€... de ahí lo he dividido entre 3 personas, y me da 1,13€.. pero cuando lo multiplico por los días de cada uno, y sumo los resultados... me da 83,62€


    replythumb_up0 voto/sflag
    icon

    Manuel Mazorco
    el 26/1/19

    Hola. Ahi resolvi el ejercicio me dio muy aproximado no igual por los decimales. Espero haberte ayudado. Perdon por mi letra no es muy linda. Saludos.

    thumb_up1 voto/sflag
  • icon

    Rosa Piedra Del Valle
    el 26/1/19

    necesito ayuda con este ejercicio, y explicación sencilla, necesito recuperar mates

    replythumb_up0 voto/sflag
    icon

    Carlos Martinez
    el 27/1/19

    Yo no puedo leer el ejercido. La foto sale muy borrosa. Si puedes repetirla intento ayudar


    thumb_up0 voto/sflag
  • icon

    TANIA GONZALEZ RODRIGUEZ
    el 26/1/19

    Buenos días chicxs, este es el examen que me cayó en enero de este año, el martes tendré el de recuperación, alguien podría ayudarme a resolver los ejercicios del examen? que creo y espero sea muy parecido al de enero! OS LO AGRADECERIA MUCHISIMO!

    replythumb_up0 voto/sflag
    icon

    Antonius Benedictus
    el 26/1/19

    Poquiño a pouco:


     


    thumb_up1 voto/sflag
    icon

    Antonius Benedictus
    el 26/1/19


    thumb_up1 voto/sflag
    icon

    Antonius Benedictus
    el 26/1/19


    thumb_up1 voto/sflag
  • icon

    Érica
    el 26/1/19

    Hola, cuando quiero discutir un sistema de ecuaciones pero la matriz ampliada es de 4x5, se puede hacer por gauss? o solo se puede usar gauss cuando es de 3x4? Gracias

    replythumb_up0 voto/sflag
    icon

    Antonius Benedictus
    el 26/1/19

    Siempre lo puedes hacer por Gauss.

    thumb_up1 voto/sflag
  • icon

    Ángela
    el 26/1/19

    ¿Me ayudáis con este ejercicio?

    replythumb_up0 voto/sflag
    icon

    César
    el 26/1/19

    https://www.youtube.com/watch?v=5bvA9Q8yTPE

    mirate el video esta resuelto 


    thumb_up1 voto/sflag
  • icon

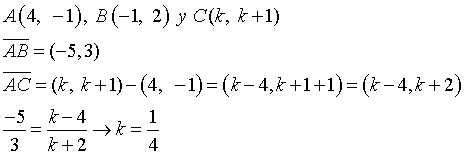
    María Ribeiro
    el 26/1/19

    Hola, podría alguien ayudarme a resolver el siguiente ejercicio?:

    Calcula el valor de k para que los puntos A(4, -1), B(-1, 2) y C(k, k+1) estén alineados.

    replythumb_up0 voto/sflag
    icon

    César
    el 26/1/19


    thumb_up0 voto/sflag
  • icon

    María Ribeiro
    el 26/1/19

    ¿ Qué e  es un vector aquipolente?

    replythumb_up0 voto/sflag
    icon

    Antonius Benedictus
    el 26/1/19


    thumb_up0 voto/sflag
  • icon

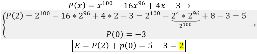
    Rocio Elizabeth Lazo Gamarra
    el 26/1/19

    SE TRATA DE UN POLINOMIO... POR FAVOR AYUDENME

    P(x)=X^100 -16X^96 +4X -3. 

    CALCULAR: E=P(2) + P(0)

    replythumb_up0 voto/sflag
    icon

    Antonius Benedictus
    el 26/1/19


    thumb_up1 voto/sflag
  • icon

    Y3
    el 26/1/19

    No comprendo este paso. Gracias <3

    replythumb_up0 voto/sflag
    icon

    Antonius Benedictus
    el 26/1/19

    Con a=b, queda:


    thumb_up0 voto/sflag