Estoy atascado en este ejercicio. Alguien me puede ayudar por favor:
Un comerciante necesita vender estuches para lentes de contacto aun precio de $125 cada uno. Encuentra un proveedor que le cobrará $1700 por docena. ¿Debe comprarlos si tiene que pagar como margen de utilidad bruta al 52% del precio de venta?Un grupo de estudiantes pagan entre todos 735 euros mensuales parea alquiler de un piso. Como que tenían habitaciones libres se han incorporado dos estudiantes más y ahora pagaran cada uno 42 euros. mensuales. cuantos estudiantes compartían piso inicialmente y cuanto pagaban cada uno?

Puedes llamar x a la cantidad inicial de estudiantes (observa que x toma valores naturales distintos de cero).
Puedes llamar p al precio inicial que pagaba cada estudiante (observa que p toma valores reales positivos).
Luego, planteas la expresión del costo mensual del alquiler del piso, y queda:
x*p = 735 euros, y de aquí despejas:
p = 735/x (1).
Luego, tienes al final (x+2) estudiantes, que pagan 42 euros cada uno, por lo que puedes plantear la ecuación:
(x + 2)*42 = 735, aquí divides por 42 en ambos miembros, y queda:
x + 2 = 17,5, aquí restas 2 en ambos miembros, y queda:
x = 15,5,
y observa que este valor no es un número natural, por lo que tienes una inconsistencia en el enunciado y debes consultar con tus docentes al respecto, porque seguramente se debe a un error en el enunciado del problema.
Espero haberte ayudado.
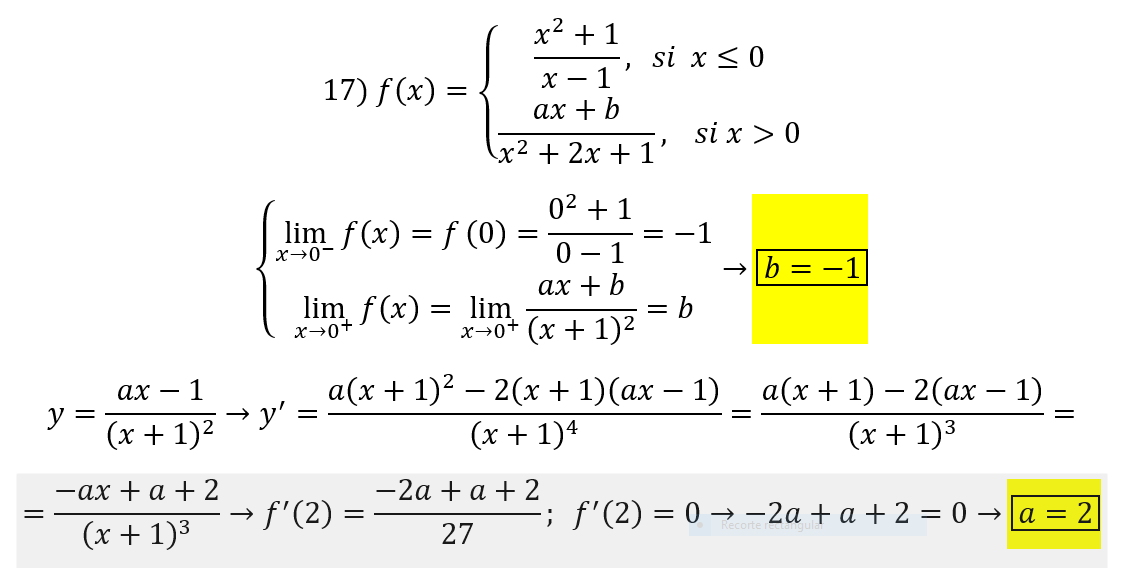
Para comprobar que es continua continua debes verificar que se cumplen todas las condiciones que la hacen continua en ese punto.
Para calcular el valor del parámetro a debes obligar a que se cumplan todas las condiciones que la hacen derivaban en ese punto. (a=2)

Te muestro un planteo posible, en el que seguimos las indicaciones del colega Antonio.
a)
1°)
f(0) = 2*0 + 1 = 0 + 1 = 1 (la función está definida en el punto en estudio).
2°)
Lím(x→0-) f(x) = Lím(x→0-) ea*x = ea*0 = e0 = = 1,
Lím(x→0+) f(x) = Lím(x→0+) (2*x + 1) = 2*0 + 1 = 0 + 1 = 1,
y como los límites laterales coinciden, puedes concluir:
Lím(x→0) f(x) = 1.
3°)
Como el valor de la función y el límite coinciden para el punto en estudio,
puedes concluir que la función es continua en x = 0.
b)
Puedes plantear la expresión general de la función derivada, y queda:
f ' (x) =
a*ea*x si x < 0,
a determinar si x = 0,
2 si x > 0;
luego, planteas los límites laterales para el punto en estudio, y queda:
Lím(x→0-) f ' (x) = Lím(x→0-) a*ea*x = a*ea*0 = a*e0 = a*1 = a,
Lím(x→0+) f ' (x) = Lím(x→0+) (2) = 2,
y como los límites laterales deben coincidir para que la función derivada sea continua, puedes plantear:
a = 2,
y puedes asignar el valor específico:
f ' (0) = 2.
Luego, reemplazas el primer valor remarcado en las expresiones de la función y de la función derivada, reemplazas el segundo valor remarcado en la expresión de la función derivada, y queda:
f(x) =
e2*x si x < 0
2*x + 1 si x ≥ 0;
f ' (x) =
2*e2*x si x < 0
2 si x = 0
2 si x > 0.
Espero haberte ayudado.
Calcula las dimensiones de un rectángulo de 30 cm de perímetro y 54 cm2de área

Puedes llamar:
x: longitud de la base del rectángulo,
y: longitud de la altura del rectángulo,
y observa que tanto x como y toman valores estrictamente positivos;
luego, planteas las expresiones del perímetro y del área de dicha figura, y queda:
2x + 2y = 30, de aquí despejas: y = 15 - x (1),
x*y = 54;
luego, sustituyes la expresión señalada (1) en la segunda ecuación, y queda:
x*(15 - x) = 54, distribuyes el primer miembro, y queda:
15x - x2 = 54, restas 54 en ambos miembros, ordenas términos, y queda:
-x2 + 15x - 54 = 0, multiplicas por -1 en todos los términos de esta ecuación, y queda:
x2 - 15x + 54 = 0,
que es una ecuación polinómica cuadrática, cuyas soluciones on:
a)
x = (15 - 3)/2 = 12/2 = 6 cm,
reemplazas este valor remarcado en la ecuación señalada (1), resuelves, y queda:
y = 9 cm;
b)
x = (15 + 3)/2 = 18/2 = 9 cm,
reemplazas este valor remarcado en la ecuación señalada (1), resuelves, y queda:
y = 6 cm;
por lo que puedes concluir que el lado mayor del rectángulo mide 9 centímetros y que el lado menor mide 6 centímetros, independientemente de cuál de ellos consideres base o altura de la figura.
Espero haberte ayudado.