La hipotenusa de un triangulo rectángulo es 26 m. y la suma de sus catetos es 34 m. Encuentra los catetos

Se plantea un sistema de ecuaciones, sabiendo que según el teorema de pitágoras: a2 = b2 + c2. El sistema sería:
262 = b2 + c2
34 = b + c
Evidentemente, se puede realizar con otras incógnitas, por ej. x e y. Resolviendo por sustitución: b = 34 - c, y se sustituye en la otra ecuación: 676 = (34 - c)2 + c2 → 676 = 1156 - 68c + c2 + c2 → 2c2 - 68c + 480 = 0, las soluciones de la ecuación de segundo grado son: c1 = 24, c2 = 10. Al sustituir las soluciones, se obtiene que b1 = 10 y b2 = 24. Como en el ejercicio anterior, se obtienen los mismos valores pero intercambiándose las variables.
Por tanto, los catetos miden uno 24 m y el otro 10 m.
Saludos.

Puedes llamar x e y a las longitudes de los catetos (observa que x e y toman valores estrictamente positivos);
luego, puedes plantear las ecuaciones:
x + y = 34 (suma de las longitudes de los catetos), de aquí despejas: y = 34 - x (1),
x2 + y2 = 262 (ecuación pitagórica), aquí resuelves el segundo miembro, y queda: x2 + y2 = 676 (2).
Luego, sustituyes la expresión señalada (1) en la ecuación señalada (2), y queda:
x2 + (34 - x)2 = 676, desarrollas el segundo término, y queda:
x2 + 1156 - 68x + x2 = 676, restas 676 en ambos miembros, reduces y ordenas términos, y queda:
2x2 - 68x + 480 = 0, divides por 2 en todos los términos de esta ecuación, y queda:
x2 - 34x + 240 = 0,
que es una ecuación polinómica cuadrática cuyas soluciones son:
a)
x = (34 - 14)/2 = 20/2 = 10 m,
reemplazas este valor remarcado en la ecuación señalada (1), y queda:
y = 24 m;
b)
x = (34 + 14)/2 = 48/2 = 24 m,
reemplazas este valor remarcado en la ecuación señalada (1), y queda:
y = 10 m;
por lo que puedes concluir que los catetos del triángulo rectángulo miden 10 metros y 24 metros, independientemente de sus designaciones con x o con y.
Espero haberte ayudado.
Necesito ayuda en este problema:
Un jardín en forma rectangular tiene 600m2de superficie y de perímetro 100m. Calcula la medida de los lados

Hola. Para resolverlo, se plantea un sistema de ecuaciones basándose en la fórmula del área del rectángulo y del perímetro. Los lados serán x e y:
x · y = 600
2x + 2y = 100
Por sustitución: x = (100 - 2y) / 2 → x = 50 - y, se sustituye en la otra ecuación: (50 - y) · y = 600 → 50y - y2 = 600 → y2 - 50y + 600 = 0, se resuelve la ecuación de segundo grado con la fórmula y las soluciones son: x1 = 30 y x2 = 20. Se sustituyen las soluciones en una de las ecuaciones del sistema y se obtiene que para x = 30, y = 20. Y para x = 20, y = 30. Entonces, las soluciones son x1 = 30, y1 = 20 y por otra parte x2 = 20, y2 = 30, que son los mismos valores pero intercambiados.
Por tanto, los lados miden 20 m y 30 m.
Espero que te sirva de ayuda, un saludo.

33-. Si nos damos cuenta, el área que existe entre la función y el eje de abscisas en el intervalo (a,b) es negativa, y de forma contraria ocurre en el intervalo (b,c). Por lo que si sumamos las áreas, se anularán y no estaremos calculando el área que deseamos. Por lo que la opción a) se descarta. De esta también podemos concluir que la opción d) se descarta. Por otra parte, sabiendo que:
→ Se ha de descartar la segunda opción. Por lo que nos quedamos con la opción c), que es lo mismo que aplicar valor absoluto en ambas regiones por separado para posteriormente sumarlas.
ESPERO HABERTE AYUDADO.

34-. Si f(x)=-f(-x) en (-a,a) tenemos una simetría impar en ese intervalo. Para ver mejor a lo que me refiero, aquí te coloco una gráfica (y=x^3)
. Por lo tanto, si calculamos la integral de la función en intervalos "simétricos" (-a,a), ésta área será nula.
Concluyendo con que la afirmación realizada en el enunciado es correcta.
Debemos en primer lugar cuanta tinta verde necesita la etiqueta de un producto un producto para luego multiplicarla por el número de productos etiquetados en un año.
para lo primero debemos calcular el área encerrada entre esas dos curvas:
representamos ambas funciones:
calculamos los puntos de corte: 0.61 y 1.64
calculamos las integrales definidas:
y sumamos sendos resultados:
0.26 u2
para lo segundo sustituimos 12 meses en la ecuación:
C(12)=123-122=1584 unidades
y por último:
0.26 * 1584 = 411.84 u2 de tinta

a)
Evalúas la expresión de la función para el instante inicial (t = 0), y queda:
N(0) = C*ek*0 = C*e0 = C*1 = C,
por lo que tienes que la constante C es igual a la cantidad inicial de bacterias,
por lo que C tiene un valor positivo.
b)
Planteas la expresión de la función derivada primera, y queda:
N ' (t) = C*ek*t*k = k*C*ek*t (1);
luego, observa que la cantidad de bacterias disminuye, por lo que la función derivada toma valores negativos, y puedes plantear la inecuación:
N ' (t) < 0, sustituyes la expresión señalada (1), y queda:
k*C*ek*t < 0,
divides por C en ambos miembros (recuerda que es positivo, por lo que no cambia la desigualdad), y queda:
k*ek*t < 0,
divides por ek*t en ambos miembros (recuerda que las expresiones exponenciales toman valores estrictamente positivos, por lo que no cambia la desigualdad), y queda:
k < 0,
por lo que tienes que el valor de la constante k es negativo.
c)
Observa que tienes la condición:
N(4) = (1/16)*N(0),
sustituyes la expresión de la función evaluada en el primer miembro, sustituyes la expresión del la cantidad inicial de bacterias en el segundo miembro, y queda:
C*ek*4 = (1/16)*C,
divides por C en ambos miembros, y queda:
ek*4 = 1/16,
compones en ambos miembros con la función inversa de la función exponencial natural, y queda:
k*4 = ln(1/16),
expresas al argumento del logaritmo natural como una potencia con base 2, y queda:
k*4 = ln(2-4),
aplicas la propiedad del logaritmo de una potencia en el segundo miembro, y queda:
k*4 = -4*ln(2),
divides por 4 en ambos miembros, y queda:
k = -ln(2).
Espero haberte ayudado.

Observa que el segundo término del argumento tiende a cero, y que el exponente tiende a infinito.
Luego, multiplicas en el exponente por (1/tan(1/x))*tan(1/x) (observa que esta expresión es igual a uno), y queda:
L = Lím(x→∞) ( 1 + tan(1/x) )(1/tan(1/x))*tan(1/x),
aquí aplicas la sustitución (cambio de variable):
w = 1/tan(1/x) (1) (observa que w tiende a infinito cuando x tiende a infinito),
y de aquí despejas:
tan(1/x) = 1/w (2);
luego sustituyes las expresiones señaladas (1) (2), y el límite con la nueva variable queda expresado:
L = Lím(w→∞) ( 1 + 1/w )w*(1/w),
aplicas la propiedad de una potencia cuya base es otra potencia en el argumento del límite, y queda:
L = Lím(w→∞) ( ( 1 + 1/w )w )1/w,
aplicas la propiedad del límite de una función compuesta, y queda:
L = ( Lím(w→∞) ( 1 + 1/w )w )Lím(w→∞) 1/w,
resuelves (observa que la expresión de la base tiende a e, y que la expresión del exponente tiende a 0), y queda:
L = e0= 1.
Espero haberte ayudado.

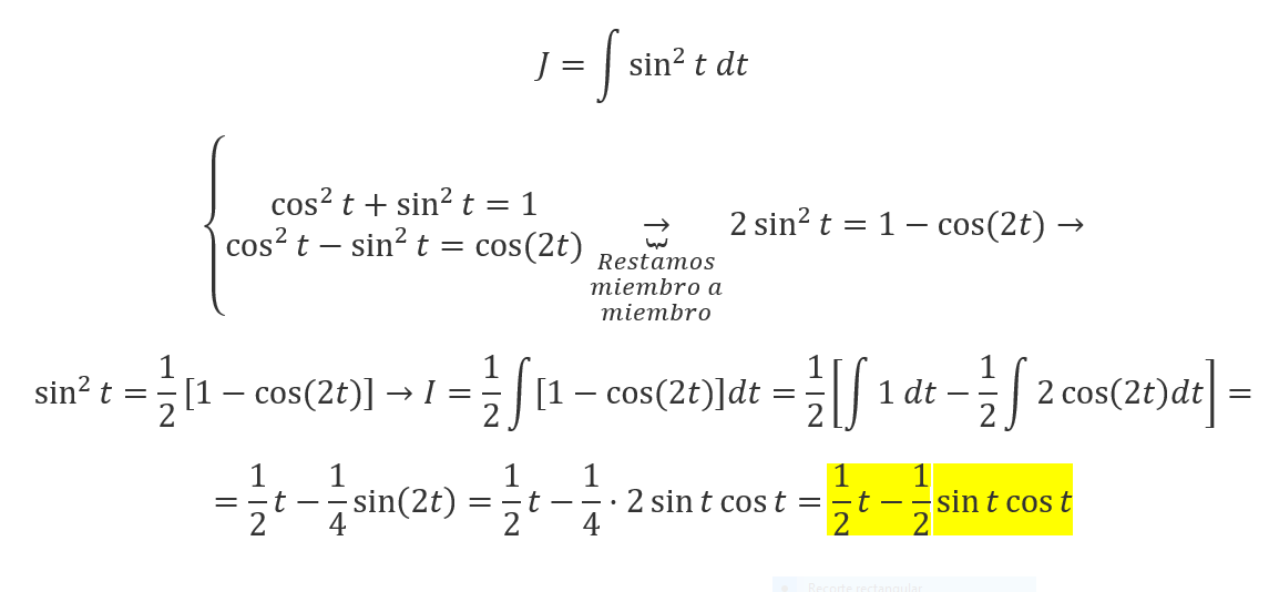
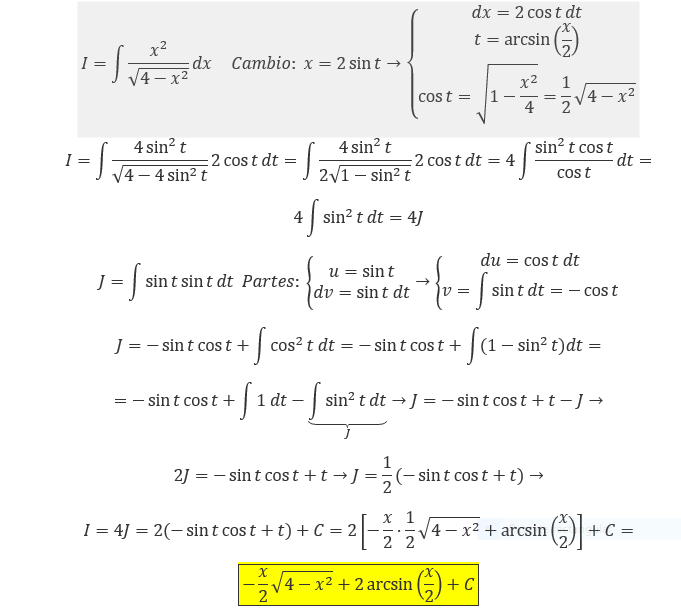
Vamos con una orientación.
Planteas la sustitución (cambio de variable):
x = 2*senw,
de donde tienes
dx = 2*cosw*dw,
también tienes:
√(4-x2) = √(4-4*sen2w) = √( 4*(1-sen2w) ) = √4*cos2w) = 2*cosw,
y también tienes:
x/2 = senw, de donde tienes:
arcsen(x/2) = w (1);
luego, sustituyes expresiones, y la integral queda:
I = ∫ ( (2*senw)2 / (2*cosw) )*2*cosw*dw,
simplificas, resuelves la potencia, y queda:
I = ∫ ( 4*sen2w )*dw,
extraes el factor constante, y queda:
I = 4 * ∫ sen2w*dw;
luego, puedes aplicar la identidad trigonométrica:
sen2w = (1/2)*( 1 - cos(2w) ),
sustituyes, y la integral queda:
I = 4 * ∫ (1/2)*( 1 - cos(2w) )*dw,
extraes el factor constante, y queda:
I = 2 * ∫ ( 1 - cos(2w) )*dw,
integras miembro a miembro, y queda:
I = 2*( w - (1/2)*sen(2w) ) + C,
luego, sustituyes la expresión señalada (1), y queda:
I = 2*( arcsen(x/2) - (1/2)*sen( 2*arcsen(x/2) ) + C.
Espero haberte ayudado.