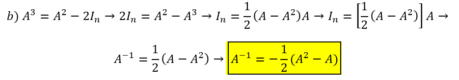
alguien me puede ayudar con este ejercicio? :( porfavor he intentado hacerlo pero nose que metodo usar.![]()

Me encantaría ayudarte, pero no respondo dudas universitarias que no tengan que ver específicamente con los videos que ya he grabado como excepcion. O de otras asignaturas que no sean matemáticas, física y química. Lo siento de corazón… Espero lo entiendas
Ojalá algun unicoo universitario se anime a ayudarte (de hecho lo ideal es que todos los universitarios intentarais ayudaros los unos a los otros)
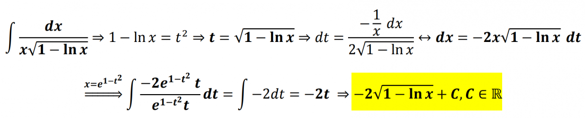
Hola tengo muchas dudas! Mi profe hace en 3 folios lo que david en media hoja 😓no se como voy a aprobar.Os mando un ejercicio para ver si alguien me lo puede explicar mas sencillo que la solucion que tengo.gracias!
segun valores de a, posicion relativa del plano : x-ay-z=1
r: 2x+y+az=2
-x+y+z=a+1
BUENAS TARDES :
ME gustaria saber la ecuacion 4 x cuadrado mas 29 x mas25

SUPONGO QUE ESTARÁ IGUALADO A 0, porque en caso contrario no sería una ecuación. Si es 4x²+29x+25=0, entonces a=4, b=29 y c=25.
Inténtalo como en este vídeo y nos cuentas