¡UPS! Para ver vídeos en la web debes estar registrado, es totalmente gratuito.

Recuerda además que sólo por ser unicoo, GRATIS, podrás dejar tus dudas en los foros de beUnicoos, acumularás energy y help points y ganarás decenas de medallas. Registrarte solo te llevará unos segundos. Nosotros somos unicoos ¿y tú? #nosvemosenclase

Ecuaciones de segundo grado

Correspondiente a 3º ESO resolveremos varias ecuaciones de segundo grado incompletas de la forma ax²+c=0 o ax²+bx=0. Para terminar resolveremos utilizando la formula general una ECUACION DE SEGUNDO GRADO completa del tipo ax²+bx+c=0.

Agregar a mi mochila
0/ 665

* Para utilizar tu mochila o guardar tu progreso y acumular energy points debes ser usuario registrado. Regístrate o inicia sesión

Material adicional

* Los materiales marcados con el símbolo de la estrella () sólo serán accesibles para usuarios PRO. Conviértete en PRO

Foro de preguntas y respuestas

logo beUnicoos
Los foros de unicoos se han unificado en nuestra nueva plataforma beUnicoos. Para dejar nuevas preguntas deberás hacerlo allí, donde además podrás encontrar nuevas asignaturas y herramientas para ayudarte más con tus estudios.
  • icon

    Tegav Sergio
    el 7/4/19

    • Como simplificar?

    replythumb_up0 voto/sflag
    icon

    César
    el 10/4/19


    thumb_up0 voto/sflag
  • icon

    Bryan Martinez Osorio
    el 4/4/19

    ¿Como se hace?


    replythumb_up0 voto/sflag
    icon

    Antonius Benedictus
    el 4/4/19
    Flag pendiente


    thumb_up3 voto/sflag
  • icon

    Mario
    el 26/3/19

    un hombre hace 4 ingresos en un Banco. En el segundo ingreso pone el doble de dinero que en el primero, y el triple que el tercero, y en el cuarto, el triple del primero. Si en total ha puesto 10.000 euros, cuanto dinero ha puesto en cada ingreso?

    replythumb_up0 voto/sflag
  • icon

    Mario
    el 26/3/19

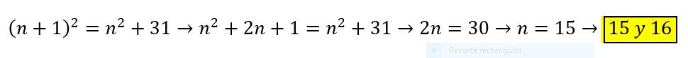
    Encuentra dos numero consecutivos en el que el cuadrado del mas grande pase en 31 unidades el cuadrado del mas pequeño. gracias


    replythumb_up0 voto/sflag
    icon

    Antonius Benedictus
    el 26/3/19


    thumb_up1 voto/sflag
  • icon

    Nomi EsEx
    el 8/3/19

    ¿hay algun video de ecuaciones de grado superior a dos?

    replythumb_up0 voto/sflag
    icon

    César
    el 8/3/19

  • icon

    Laura Mejía Urbanos
    el 28/2/19

    Hola una pregunta del vídeo.

    En la ecuación completa al final de donde te sacas el 13???

    replythumb_up0 voto/sflag
  • icon

    Raul
    el 24/2/19

    Hola! Alguien sabe por qué en el ejercicio 73 a)                                                             x− 1 ⁄ 3 = (x − 1)⁄ 2 da 2x− 2 = 3x− 6x + 3

    GRACIAS!!!

    replythumb_up0 voto/sflag
    icon

    Antonius Benedictus
    el 24/2/19


    thumb_up1 voto/sflag
  • icon

    cecilia
    el 3/2/19

    hola! Por qué en la ultima operación de (2x-3)(3x+8) no se pueden  multiplicar los paréntesis lo cual te deja una ecuación completa, en vez de decir que ya está sacado el factor común y sacar dos soluciones? me urge mucho la duda, gracias!

    replythumb_up0 voto/sflag
    icon

    Antonius Benedictus
    el 3/2/19

    Una ecuación factorizada es siempre más fácil de resolver.

    thumb_up0 voto/sflag
  • icon

    Tamara Bj
    el 18/1/19

    Hola! tengo una duda que igual es un poco absurda pero yo no lo entiendo. Porque en estas ecuaciones el resultado se simplifica,(ej:el que acaba en -6/4 que podria ser -2 y lo dejas en 3/2. 

    Y en las ecuaciones de primer grado, vistas anteriormente, lo divides entre ellos y no se simplifica.

    Me urge la duda. Mil gracias

    replythumb_up0 voto/sflag
  • icon

    Lucia
    el 17/1/19

    Alguien sabe qué pasa si la a es negativa?? Por ejemplo: -2t2 (el segundo 2 es al cuadrado) +25t +60

    Hay que cambiarles los signos a todas para convertirla en positiva? 

    Graciassss

    replythumb_up0 voto/sflag
    icon

    Antonius Benedictus
    el 17/1/19

    No es necesario. 

    -2t^2+25t+60=0

    t=(-25±√(625-4*(-2)*60))/2(-2)

    thumb_up0 voto/sflag
  • icon

    ma_mancho
    el 11/9/18

    En el último ejercicio :(2x-3) (3x+8)=0 dijiste que uno de los dos paréntesis es igual a 0 y los resultados dan x=3/2 y x=3/8 por lo tanto ninguno es igual a cero

    replythumb_up0 voto/sflag
    icon

    Antonius Benedictus
    el 11/9/18

    Para que un producto valga 0 es preciso que alguno delos factores valga 0. Al igualar cada factor a 0, despejamos la x.

    thumb_up0 voto/sflag
  • icon

    Lydia Sanchez Vargas
    el 19/6/18
    flag

    Como es el método de reducción?? 

    replythumb_up0 voto/sflag
    icon

    David
    el 21/6/18

    Si te refieres a...  Sistema de ecuaciones - Método de reducción

    Pero eso no tiene que ver con ecuaciones sino con sistemas de ecuaciones...

    thumb_up0 voto/sflag
  • icon

    Lucia Ramos Recio
    el 25/4/18

    me puedes explicar como has pasado de x=+- √9/2 a x=+-3√2/2

     por favor

    replythumb_up0 voto/sflag
    icon

    Antonius Benedictus
    el 25/4/18

    Racionalizando. Es decir, multiplicando numerador y denominador por raíz de 2.

    thumb_up1 voto/sflag
  • icon

    Lucia Ramos Recio
    el 25/4/18

    ¿como se resuelve esta ecuacion 5x2 -3x-3+x=3x2-2x+6?


    replythumb_up0 voto/sflag
    icon

    Antonius Benedictus
    el 25/4/18


    thumb_up1 voto/sflag
  • icon

    Jesus
    el 3/4/18
    flag

    27245+554-54579*543654+45354/98.7868+7864668+5

    no se lo q da


    replythumb_up0 voto/sflag
    icon

    Antonius Benedictus
    el 10/4/18

    Sube tu duda al foro de Matemáticas.

    thumb_up0 voto/sflag
  • icon

    majda
    el 26/3/18

    ecuación  Esta ecuacion puede tener el mismo resultado en positivo y negativo??

    replythumb_up0 voto/sflag
    icon

    Antonius Benedictus
    el 26/3/18

    Coincide con:

    x^2 -7x+10=0

    thumb_up0 voto/sflag
  • icon

    majda
    el 24/3/18

    Es lo mismo una ecuacion bicuadrada y una ecuacion de segundo grado?

    replythumb_up0 voto/sflag
    icon

    Antonius Benedictus
    el 24/3/18

    No, no es lo mismo.


    Ecuación bicuadrada

    thumb_up0 voto/sflag
  • icon

    MAJ
    el 11/3/18

    ¿Por que solo se ponen los números y no las letras? No lo entiendo =(

    replythumb_up0 voto/sflag
  • icon

    DragonSteel 200
    el 11/3/18

    Hola buenas, tengo  esta ecuación y no se como resolverla

    3x^2+x(5-3x)-42=6(x-7)



    replythumb_up0 voto/sflag
    icon

    Antonius Benedictus
    el 11/3/18


    thumb_up0 voto/sflag
  • icon

    victor
    el 27/2/18

    Y si nos da 1+- raiz cuadrada de 45 como se haría para obtener raiz cuadrada exacta.

    replythumb_up0 voto/sflag
    icon

    David
    el 27/2/18

    Si no te da exacta, no te da exacta. No puedes hacer mucho más. Revisa eso sí los cálculos previos pues normalmente los enunciados están diseñados para que tengan soluciones exactas.


    thumb_up2 voto/sflag
  • icon

    M Angeles Velazquez Reyes
    el 7/2/18

    en las fiestas de su pueblo berta gasto el primer dia la cuarta parte de lo que tenia, el segundo la quinta parte de la cantidad inicial y el tercero tres euros,aun asin le sobro la mitad del dinero, con el que empezo las fiestas ¿cuanto dinero tenia al principio?


    replythumb_up0 voto/sflag
    icon

    Antonius Benedictus
    el 7/2/18


    thumb_up1 voto/sflag
  • icon

    Eric De Cortes
    el 27/12/17

    • Hola tengo una duda de un problema : en una fiesta hay 288 personas el número de niños que han asistido a la fiesta es la mitad que el número de mujeres y el número de hombres es la tercera parte de las mujeres y niños juntos ¿cuántos niños mujeres y hombres hay en la fiesta?

    replythumb_up0 voto/sflag
    icon

    Antonius Benedictus
    el 27/12/17


    thumb_up0 voto/sflag
  • icon

    Eva
    el 18/10/17

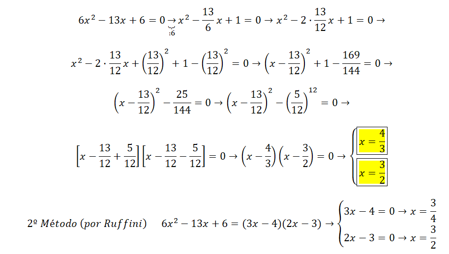
    Mi hija tiene que resolver las ecuaciones factorizando, podrías hacer unos ejemplos? Y esta  6x2-13x+6=0  cómo se resuelve factorizando? Gracias por tu ayuda, hace mucho que estudie esto

    replythumb_up0 voto/sflag
    icon

    Antonius Benedictus
    el 18/10/17


    thumb_up0 voto/sflag
  • icon

    ivan
    el 29/5/17

    necesito saber realizar problemas de ecuaciones de 2º grado. por favor

    gracias


    replythumb_up0 voto/sflag
    icon

    Miguel
    el 5/6/17

    Esto te puede ayudar

    Plantear ecuaciones

    thumb_up0 voto/sflag
  • icon

    YAMILET
    el 29/4/17
    flagflagflagflag

    Hola, podrías hacer vídeos sobre las áreas de triángulos, rectángulos... 

    GRACIAS.


    replythumb_up6 voto/sflag
  • icon

    charito
    el 16/4/17

     David en el ultimo ejemplo no se podria multiplicar los parentesis?

    Gracias.Un saludo


    replythumb_up0 voto/sflag
    icon

    Antonius Benedictus
    el 16/4/17

    Si, se podría. Y después, utilizar la fórmula.


    thumb_up1 voto/sflag
  • icon

    Mario
    el 21/3/17
    flag

    David cuando la raíz da decimal, como se hacían cuando falta la B



    replythumb_up0 voto/sflag
    icon

    Antonius Benedictus
    el 22/3/17

    No se entiende tu duda, Mario.

    thumb_up1 voto/sflag
  • icon

    Maite
    el 20/3/17

    ¿cuando son completas e incompletas?

    replythumb_up1 voto/sflag
    icon

    Antonius Benedictus
    el 20/3/17

    Incompletas: falta l término de primer grado o falta el término independiente. Por ejemplo:

    5x2 -7=0

    2x2+14x=0

    Completas: están todos.

    2x2-7x+6=0

    thumb_up4 voto/sflag
  • icon

    samuel
    el 13/3/17

    Hola, en el ejemplo de -6x+6x=0, al sacar factor común, nuestra profe nos dice que tenemos que sacar lo máximos que podamos, en este caso sería 6x? O al ser el primero negativo no?

    replythumb_up1 voto/sflag
    icon

    Antonius Benedictus
    el 13/3/17

    6x(-1+1)=0


    thumb_up3 voto/sflag
  • icon

    María del mar ramos rivas
    el 5/3/17

    David hay algún sitio en el que pueda hacer ejercicios y ver las soluciones??

    replythumb_up0 voto/sflag
    icon

    David
    el 6/3/17
    flag

    Aquí mismo... Si te haces PRO tendrás acceso a "material adicional2 en el que podrás encontrar "teoria" y "ejercicios resueltos".
    #nosvemosenclase

    thumb_up8 voto/sflag
  • icon

    Amara
    el 28/2/17

    Hola David, tengo una duda súper grande con estos dos problemas, y me complica muchisimo resolverlos.

    Uno es:

    La suma de tres numeros pares consecutivos es 48.Halla dichos números.

    Y otra:

    Una parcela rectangular de 50x34 metros está rodeada por un camino cuya anchura es siempre la misma.Halla la anchura del camino sabiendo que el área de este es 540m(cuadrados)

    Tengo exámen dentro de 3 días y la resolucion de problemas lo llevo pésimo.Agradeceria que me ayudases a resolver.Gracias!

    replythumb_up3 voto/sflag
  • icon

    Gonzalo
    el 16/2/17

    hola David la parte de las ecuaciones me ha quedado claro pero mi problema es que a la hora de hacer un problema me cuesta.  me gustaría que me ayudaras con esto que lo tengo  muy verde

    replythumb_up0 voto/sflag
    icon

    David
    el 19/2/17

    Si nos dejas algun ejemplo concreto en el foro de matematicas... Abrazos!

    Es posible te refiieras a esto... 

    Plantear ecuaciones

    thumb_up5 voto/sflag
  • icon

    Lorena Serrano Rodriguez
    el 8/2/17

    Hola, necesitaria saber si existe o caso de ser asi como, ejercicios para practicar matematicas teas ver los videos...gracias


    replythumb_up1 voto/sflag
    icon

    David
    el 9/2/17

    En todos los vídeos encontrarás "ejercicios resueltos paso a paso2 para practicar y tambien toda la teoria. En el "material adicional", si te suscribes a uno de los planes PREMIUM (en el banner superior). Besos!

    thumb_up3 voto/sflag
  • icon

    Miguel
    el 6/2/17

    en el minuto 1:50, la x al cuadrado=9 pasa a ser x al cuadrado = raiz cuadrada de nueve, si x estuviera elevado a tres, ¿se haria raiz cubica de nueve?

    replythumb_up0 voto/sflag
    icon

    Antonius Benedictus
    el 6/2/17

    Correcto, Miguel.

    thumb_up1 voto/sflag
  • icon

    georgia
    el 24/1/17

    Hola,tengo una duda ;

    en la ecuación de segundo grado a la hora de saber la c es decir el termino independiente(la que no tiene letra)no entiendo porque lo multiplicas por x

    gracias


    replythumb_up1 voto/sflag
    icon

    David
    el 26/1/17

    Revisa despacio el video....

    thumb_up1 voto/sflag
  • icon

    Melisa Castilla Salmoral
    el 31/8/16

    Hola me ,llamo melisa una pregunta cuando tu haces una ecuación imcompleta que tienes que despegar la X siempre hay que hacer raíz cuadrada

    replythumb_up2 voto/sflag
    icon

    David
    el 1/9/16

    Si es del tipo x² - a=0 o x²=a sí, tienes que hacer la raiz cuadrada... 

    thumb_up2 voto/sflag
  • icon

    Esperanza Macarena Diana Liroa
    el 31/7/16

    Buenas David, tengo una duda con la ultima ecuación, si resolvemos las fracciones ninguna da como resultado 0 ¿no?, entonces ¿la ecuación no tiene resultado real?, saludos y gracias por toda la ayuda.

    replythumb_up2 voto/sflag
  • icon

    Cristina Llinares López
    el 12/4/16

    Hola David. No sé cómo hacer esta ecuación: 1/4 por x al cuadrado = 1
    La solución es +-2 pero no sé cómo llegar a ella.
    ¿Me puedes ayudar para podérselo explicar a mi hija, por favor?
    Muchas gracias

    replythumb_up1 voto/sflag
    icon

    David
    el 13/4/16

    (1/4)x²=1.... Pasa el 4 multiplicando al otro miembro .... x²=4... Y ahora, la raiz cuadrada en ambos miembros...
    √x²=√4.... x=√4.... x=±2...

    thumb_up4 voto/sflag
  • icon

    HECTOR
    el 4/3/16
    flag

    David saca un video diciendo como hacer esta ecuación por favor 5x elevado a dos es igual a 45

    replythumb_up1 voto/sflag
  • icon

    jose
    el 27/12/15

    hola,¿hay un sitio para hacer ejercicios?.

    replythumb_up0 voto/sflag
    icon

    David
    el 29/12/15

    Por ahora no, lo siento... Pero en el material adicional de este video tienes un enlace de teoria donde podrás encontrar ejercicios para practicar...

    thumb_up1 voto/sflag
  • icon

    camila
    el 21/11/15
    flagflag

    si tienes 4x-3/5xmas 1 =9/16 como se hace?

    replythumb_up0 voto/sflag
    icon

    David
    el 23/11/15

    ¿No te has comido varios parentesis? ¿no sería (4x-3)/(5x+1) = 9/16...
    ¿O es (4x-3)/5x +1 = 9/16?... Para que tu duda sea más clara y podamos ayudarte, te sugiero lo escribas en un papel y nos dejes una foto en el foro general de matematicas...
    Se trata ADEMÁS de que DESPUES DE IR A CLASE (ver los vídeos relacionados con vuestras dudas) enviéis dudas concretas, muy concretas. Y que nos enviéis también todo aquello que hayais conseguido hacer por vosotros mismos. Paso a paso, esté bien o mal. No solo el enunciado. De esa manera podremos saber vuestro nivel, en que podemos ayudaros, cuales son vuestros fallos.... Y el trabajo duro será el vuestro. #nosvemosenclase Nos cuentas ¿ok?

    thumb_up4 voto/sflag
  • icon

    Ese
    el 9/10/15
    flag

    Hola David, hoy llevo haciendo muchos problemas de ecuaciones 2º grado y los he sabido hacer pero hay uno que no entiendo bien que ocurre. El problema es el siguiente:

    Uno de los lados de un rectángulo es 3 m más pequeño que el triple del otro. Si el perímetro y área
    coinciden numéricamente, hallar ambos lados. (Solucion: 3 y 6 m)

    Yo he hecho esto: Un lado vale x y el otro 3x -3
    Entonces como el perímetro y el área son iguales he igualado: área = perímetro
    x (3x-3) = 2x + 2(3x-3) Y ahora simplifico y despejo: 3x^2 - 3x = 2x + 6x - 6 => 3x^2 - 11x + 6 = 0
    Hago la fórmula de la ecuación y las dos soluciones erróneas que obtengo son: 10 y -6.33..^
    No se como hacerlo. Gracias.

    replythumb_up1 voto/sflag
    icon

    David
    el 12/10/15

    El planteamiento, perfecto. La ecuacion de 2º grado, no. Las soluciones son x=3 y x=2/3...
    no sé de donde has sacado el 10, lo siento. si quieres, puedes dejarnos paso a paso una foto con todo lo que hiciste, pero te ruego lo dejes en el foro general de matematicas, pues tu duda no tiene que ver EXPLICITAMENTE con lo que hago en el video

    thumb_up2 voto/sflag
  • icon

    Alex
    el 1/3/15
    flag

    Tienes algún vídeo de problemas de ecuaciones de segundo grado? Gracias

    replythumb_up1 voto/sflag
    icon

    David
    el 1/3/15

    ¿¿?? Este video....... Si tu duda es diferente, puedes dejarla en el foro general de matematicas, pero no podremos ayudarte si no eres mas concreto. Un abrazo!

    thumb_up1 voto/sflag
  • icon

    Roberto Berrios
    el 1/3/15

    y algún video de completar cuadrados no tendrías. por favor

    replythumb_up2 voto/sflag
    icon

    David
    el 1/3/15

    Entre otros muchos... lo hago en este video... Circunferencia 02
    Espero te ayude... Si te quedan dudas sobre algun ejercicio concreto,puedes dejarla en el foro general de matematicas #nosvemosenclase

    thumb_up3 voto/sflag