Hola!
¿Alguien me puede echar una mano con este ejercicio? Gracias!
Tenemos 12 libros diferentes que queremos colocar en 4 estantes. ¿Cuál es la cantidad de formas en que esto se puede hacer?
a) ¿Si el orden en el que se colocan dentro del mismo estante no es relevante?
b) ¿Si el orden en que se colocan dentro del mismo estante es relevante?

¿Has visto estos videos?... Combinatoria
Se trata de que DESPUES DE IR A CLASE (ver los vídeos relacionados con
vuestras dudas) enviéis dudas concretas, muy concretas. Y que nos enviéis
también todo aquello que hayais conseguido hacer por vosotros mismos. Paso a
paso, esté bien o mal. No solo el enunciado. De esa manera podremos saber
vuestro nivel, en que podemos ayudaros, cuales son vuestros fallos.... Y el
trabajo duro será el vuestro. Nos cuentas ¿ok? #nosvemosenclase ;-)

Revisa los videos de "intervalo de confianza"...
Por ejemplo, Intervalo de confianza
A partir de ahí, se trata de que DESPUES DE IR A CLASE (ver los vídeos
relacionados con vuestras dudas) enviéis dudas concretas, muy concretas. Y que
nos enviéis también todo aquello que hayais conseguido hacer por vosotros
mismos. Paso a paso, esté bien o mal. No solo el enunciado. De esa manera
podremos saber vuestro nivel, en que podemos ayudaros, cuales son vuestros
fallos.... Y el trabajo duro será el vuestro. Nos cuentas ¿ok? #nosvemosenclase
;-)

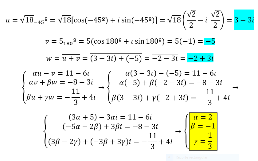
2i)
Tienes los números complejos expresados en forma polar, luego los expresas en forma trigonométrica y de ahí en forma cartesiana binómica, y quedan:
u = √(18)-45° = √(18)*( cos(-45°) + i*sen(-45°) ) = √(18)*(√(2)/2 - i*√(2)/2) = 3 - 3*i,
v = 5180° = 5*( cos(180°) + i*sen(180°) ) = 5*(-1 + 0*i) = -5,
w = (u + v)c = (3-3*i - 5)c = (-2-3*i)c = -2 + 3*i.
Luego, tienes la primera ecuación del sistema de tu enunciado:
α*u - v = 11-6*i, sumas v en ambos miembros, y queda:
α*u = 11-6*i + v, sustituyes las expresiones remarcadas de los números complejos u y v, y queda:
α*(3-3*i) = 11-6*i - 5, reduces términos reales en el segundo miembro, y queda:
α*(3-3*i) = 6-6*i, extraes factor común en ambos miembros, y queda:
α*3*(1-i) = 6*(1-i), divides por 3*(1-i) en ambos miembros, resuelves, y queda: α = 2.
Luego, reemplazas el último valor remarcado, remplazas las expresiones remarcadas de los números complejos v y w en la segunda ecuación del sistema, y queda:
2*(-5) + β*(-2+3*i) = -8 - 3*i, resuelves términos, y queda:
-10 + β*(-2+3*i) = -8 - 3*i, sumas 10 en ambos miembros, reduces términos reales, y queda:
β*(-2+3*i) = 2 - 3*i, extraes factor común (-1) en el segundo miembro, y queda:
β*(-2+3*i) = -1*(-2+3*i), divides por (-2+3i) en ambos miembros, y queda: β = -1.
Luego, reemplazas el último valor remarcado, remplazas las expresiones remarcadas de los números complejos u y w en la tercera ecuación del sistema, y queda:
-1*(3-3*i) + γ*(-2+3*i) = -11/3 + 4*i, distribuyes el primer término del primer miembro, y queda:
-3 + 3*i + γ*(-2+3*i) = -11/3 + 4*i, sumas 3 y restas 3*i en ambos miembros, reduces términos semejantes, y quda:
γ*(-2+3*i) = -2/3 + 1*i, extraes factor común (1/3) en el segundo miembro, y queda:
γ*(-2+3*i) = (1/3)*(-2+3*i), divides por (-2+3*i) en ambos miembros, y queda: γ = 1/3.
Espero haberte ayudado.