Buenas.
Tengo el polinomio x^4 - 18225x^2 + 76527504
al ser un polinomio tan grande me lleva tiempo sacarle la raiz probando con cada divisor del t.i y quería saber si existe alguna otra forma de sacarle las raices de forma más rápida
hola unicoos! Alguien me puede ayudar con este problema:
Un tanque australiano de sección circular de 10 m de radio está en el centro de un campo. Una cabra está atada a un punto del borde del tanque con una cuerda que mide la mitad de la circunferencia del tanque. ¿Podría decir cuál es el área del campo en el que la cabra puede pastar? (Respuesta: (5/6).π³.r² )
Muchas gracias

Me encantaría ayudarte, pero no respondo dudas universitarias que no tengan que ver específicamente con los videos que ya he grabado como excepcion. O de otras asignaturas que no sean matemáticas, física y química. Lo siento de corazón… Espero lo entiendas
Ojalá algun unicoo universitario se anime a ayudarte (de hecho lo ideal es que todos los universitarios intentarais ayudaros los unos a los otros)

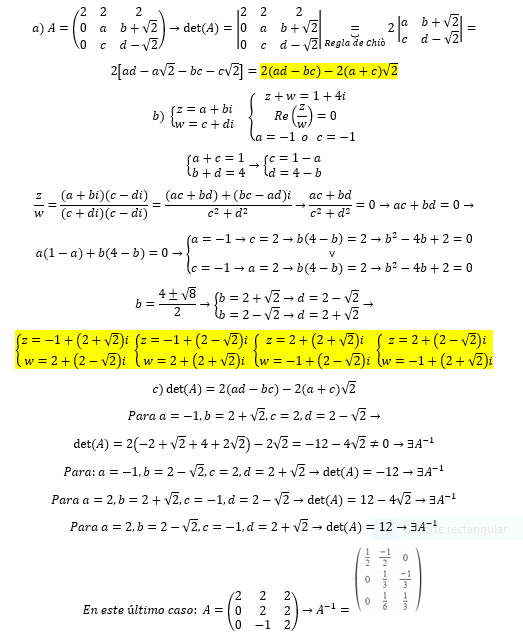
a)
Desarrollas el determinante según su primera columna (observa que tiene un solo elemento no nulo, por lo que el desarrollo tendrá un solo término), y queda:
|A| =
= +2 * ( a*( d-√(2) ) - c*( d+√(2) ) = distribuyes factores comunes:
= 2 * ( a*d - a*√(2) - c*d - c*√(2) ) = ordenas términos y extraes factores comunes por grupos:
= 2 * ( (a-c)*d - (a+c)*√(2) ).
Espero haberte ayudado.

b)
Planteas la suma que tienes indicada en tu enunciado, y queda:
z + w = 1 + 4i,
sustituyes las expresiones de los números complejos en el primer miembro (observa que consideramos que el complejo w es el que tiene su parte real igual a -1, por lo que tienes: c = -1), y queda:
a+bi + (-1)+di = 1 + 4i, ordenas y asocias términos semejantes en el primer miembro, y queda:
(a-1) + (b+d)i = 1 + 4i;
luego, por igualdad entre números complejos, igualas las partes reales, igualas las partes imaginarias, y tienes las ecuaciones:
a - 1 = 1, aquí sumas 1 en ambos miembros, y queda: a = 2 (1),
b + d = 4, aquí restas b en ambos miembros, y queda:
d = 4 - b (2).
Luego, planteas la división entre los números complejos, y queda:
z/w = (a+bi)/(-1+di), multiplicas al numerador y al denominador por (-1-di), y queda:
z/w = (a+bi)*(-1-di) / (-1+di)*(-1-di), distribuyes en el numerador y en el denominador, y queda:
z/w = (-a-adi-bi+bd) / (1+d2), ordenas y asocias términos semejantes en el numerador, y queda:
z/w = ( (-a+bd) - (ad+b)i ) / (1+d2), distribuyes el denominador, y queda:
z/w = (-a+bd)/(1+d2) - (ad+b)i/(1+d2);
y como tienes que el cociente es un número complejo imaginario puro, planteas que su término real es igual a cero, y tienes la ecuación:
(-a+bd)/(1+d2) = 0, multiplicas por (1+d2) en ambos miembros, y queda:
-a + bd = 0, aquí sumas a en ambos miembros, y queda: bd = a (3).
Luego, reemplazas el valor remarcado y señalado (1) en la ecuación señalada (3), sustituyes la expresión señalada (2) en la ecuación señalada (3), y queda:
b*(4-b) = 2, distribuyes el primer miembro, y queda:
4b - b2 = 2, restas 2 en ambos miembros, y queda:
4b - b2 - 2 = 0, multiplicas por -1 en todos los términos, ordenas términos, y queda:
b2 - 4b + 2 = 0,
que es una ecuación polinómica cuadrática, cuyas soluciones son:
1°)
b1 = ( 4-√(8) )/2 = 2-√(2),
reemplazas este último valor remarcado en la ecuación señalada (2), resuelves, y queda: d1 = 2+√(2);
por lo que tienes que en este caso los números complejos quedan:
z1 = 2 + ( 2-√(2) )i y w = -1 + ( 2+√(2) )i;
2°)
b2 = ( 4+√(8) )/2 = 2+√(2),
reemplazas este último valor remarcado en la ecuación señalada (2), resuelves, y queda: d2 = 2-√(2);
por lo que tienes que en este caso los números complejos quedan:
z2 = 2 + ( 2+√(2) )i y w = -1 + ( 2-√(2) )i.
Espero haberte ayudado.

c1)
Tomas los valores de la primera opción del inciso anterior, y la matriz queda:
A1 =
2 2-√(2)
-1 2+√(2),
y observa que tienes una matriz cuadrada de dos filas y dos columnas;
luego, planteas la expresión desarrollada del determinante de la matriz, y queda:
|A1| =
= 2*( 2+√(2) ) - (-1)*( 2-√(2) ) = distribuyes en ambos términos, y queda:
= 4 + 2√(2) + 2 - 2√(2) = cancelas términos opuestos, reduces términos racionales, y queda:
= 6 ≠ 0,
por lo que tienes que la matriz A1 es invertible.
c2)
Tomas los valores de la segunda opción del inciso anterior, y la matriz queda:
A2 =
2 2+√(2)
-1 2-√(2),
y observa que tienes una matriz cuadrada de dos filas y dos columnas;
luego, planteas la expresión desarrollada del determinante de la matriz, y queda:
|A2| =
= 2*( 2-√(2) ) - (-1)*( 2+√(2) ) = distribuyes en ambos términos, y queda:
= 4 - 2√(2) + 2 + 2√(2) = cancelas términos opuestos, reduces términos racionales, y queda:
= 6 ≠ 0,
por lo que tienes que la matriz A1 es invertible.
Te dejo el planteo y el desarrollo para obtener las expresiones de las matrices inversas.
Haz el intento de hallarlas, y si te es preciso no dudes en volver a consultar.
Espero haberte ayudado.
Una partícula se mueve sobre la curva C, que se obtiene de la intersección de la esfera x^2+y^2+z^2=1 y el plano z=y. Obtener la ecuación de la trayectoria que describiría la partícula si se separase de la curva C en (√2/2, 1/2, 1/2).
No es un problema de física, sino de curvas. Ayuda.

Tienes el sistema de ecuaciones cartesianas de la curva:
x2 + y2 + z2 = 1 (1),
z = y (2),
y tienes también el punto que pertenece a la curva: C(√(2)/2,1/2,1/2).
Luego, sustituyes la expresión señalada (2) en la ecuación señalada (1) y reduces términos semejantes, mantienes la ecuación señalada (2), y el sistema queda:
x2 + 2y2 = 1 (3),
z = y (2),
expresas al segundo término de la ecuación señalada (3) como un cuadrado, y el sistema queda:
x2 + (√(2)y)2 = 1 (4),
z = y (2).
Luego, observa la ecuación señalada (4), y puedes proponer la parametrización "con estilo trigonométrico":
x = cost,
√(2)y = sent, aquí multiplicas por √(2)/2 en ambos miembros, y queda: y = (√(2)/2)sent,
z = (√(2)/2)sent,
con 0 ≤ t ≤ 2π,
y observa que al punto C(√(2)/2,1/2,1/2) le corresponde el valor paramétrico: tC = π/4.
Luego, con las expresiones remarcadas, planteas la expresión de la función vectorial de posición, y queda:
r(t) = < cost , (√(2)/2)sent , (√(2)/2)sent >, con 0 ≤ t ≤ 2π;
luego derivas, y la expresión de la función vector tangente (o velocidad), queda:
r ' (t) = < -sent , (√(2)/2)cost , (√(2)/2)cost >,
que evaluada en el punto C(√(2)/2,1/2,1/2) queda:
r ' (π/4) = < -√(2)/2 , 1/2 , 1/2 > = v,
que es la expresión de la velocidad de la partícula en el punto indicado.
Luego, como tienes que la partícula abandona la curva en el punto C(√(2)/2,1/2,1/2), entonces tienes que la misma se encuentra libre, por lo que se desplaza con Movimiento Rectilíneo Uniforme, con la velocidad remarcada a partir del punto indicado, por lo que su nueva ecuación vectorial de posición queda (observa que este movimiento ocurre a partir del instante: t0 = π/4):
R(t) = < √(2)/2 , 1/2 , 1/2 > + < -√(2)/2 , 1/2 , 1/2 >*(t - π/4), con t > π/4,
que es la ecuación vectorial de una semirrecta, con punto inicial: C(√(2)/2,1/2,1/2) y vector director: v = < -√(2)/2 , 1/2 , 1/2 >.
Espero haberte ayudado.