
1)
Con el dominio que tienes en tu enunciado, y con la imagen que has determinado, tienes que la función es biyectiva.
Observa que tienes la expresión de la función:
f(x) = 3 + √(5x-1), designas con y a los elementos de la imagen de la función, y queda:
y = 3 + √(5x-1), restas 3 en ambos miembros, y queda:
y - 3 = √(5x-1), elevas al cuadrado en ambos miembros, y queda:
(y-3)2 = 5x - 1, restas 5x y restas (y-3)2 en ambos miembros, y queda:
-5x = (y-3)2 - 1, multiplicas por -1/5 en todos los términos de la ecuación, y queda:
x = -(1/5)(y-3)2 + 1/5 (1),
y observa que para cada elemento y de la imagen de la función tienes un único elemento x de su dominio.
Luego, a fin de determinar la expresión de la función inversa, permutas variables en la ecuación señalada (1), y queda:
y = -(1/5)(x-3)2 + 1/5, expresas a los elementos de la imagen de la función inversa como f-1(x), y queda:
f-1(x) = -(1/5)(x-3)2 + 1/5,
y observa que el dominio de la función inversa es: Di = [3,+∞), y que su imagen es: Ii = [1/5,+∞).
Espero haberte ayudado.
¿Dónde se encuentran los vídeos de Integrales Indefinidas?
Hola! Alguien me puede ayudar con esto, gracias!
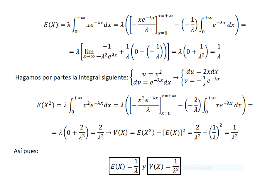
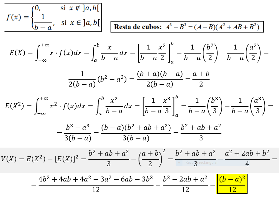
Demostrar por integración directa que la varianza de una densidad uniforme en (a,b) es ((b-a)^2)/2
He intentado resolverlo con la formula ∫(x- x¯)^2 dx
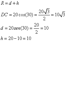
Determina el área del segmento circular asociado a un sector de 120° y radio 20 cm.
Lo que no entiendo del ejercicio es como calcula la altura del triángulo √202-102 No entiendo porqué es 10. forma un triángulo obtusángulo de lados 20 y 20. La cuerda es desconocida y sería la base de mi triángulo...
Un saludo y gracias

Observa que los dos radios y la cuerda (k) determinan un triángulo isósceles, y que al trazar un segmento con extremos en el centro y en el punto medio de la cuerda, quedan determinados dos triángulos rectángulos, cuya hipotenusa mide 20 cm, y cuyo ángulo determinado por el segmento trazado y la hipotenusa mide 60°; luego, observa que el cateto opuesto a este ángulo tiene longitud igual a media cuerda, por lo que puedes plantear:
a)
(K/2) / 20 = sen(60°), resuelves el primer miembro, reemplazas el valor exacto en el segundo miembro, y queda:
k/40 = √(3)/2, multiplicas por 40 en ambos miembros, y queda:
k = 20√(3) cm, que es la longitud de la cuerda (base del triángulo isósceles);
b)
h/20 = cos(60°), reemplazas el valor exacto en el segundo miembro, y queda:
h/20 = 1/2, multiplicas por 20 en ambos miembros, y queda:
h = 10 cm, que es la longitud de la altura del triángulo isósceles.
Luego, planeas la expresión del área del triángulo isósceles, y queda:
AT = (1/2)*k*h = (1/2)*20√(3)*10 = 100√(3) cm2.
Luego, planteas la expresión del sector circular, y queda:
AS = (1/2)*R2*(θ/180°)*π = (1/2)*202*(120°/180°)*π = (400/3)π cm2.
Luego, planteas la expresión del área del segmento circular en función de las áreas del sector y del triángulo isósceles, y queda:
ASgC = AS - AT, reemplazas valores, y queda:
ASgC = (400/3)π - 100√(3) = 100( 4π/3 - √(3) ) cm2 ≅ 245,674 cm2.
Espero haberte ayudado.
¿Cómo puedo resolverlo? Es que no sé de qué manera influye el factor de tolerancia en la tasa de aprendizaje![]()

Lamento de todo corazon no poder ayudarte, pero unicoos (por ahora) solo
llega hasta bachiller con matemáticas, física y química. Tu duda se da en la
"uni". Espero lo entiendas... Como a veces hago alguna excepción y
además hay muchos enlaces de teoría y ejercicios resueltos, te recomiendo le
eches un vistazo a la seccion MATEMATICAS, UNIVERSIDAD de la web

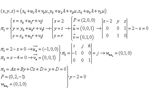
Tienes la ecuación del plano:
z = 9 (1),
y observa que un vector normal a este plano es:
Nπ = < 0 , 0 , 1 >.
Tienes planteados los ángulos directores de la recta:
α = 60°,
β = 90° (observa que con este dato tienes que la recta es perpendicular al eje OY),
γ = a determinar, con 90° < γ < 180°.
Tienes un punto que pertenece a la recta:
B(-1,0,1).
a)
Observa que las coordenadas x e y de los puntos del plano están "libres", por lo que puedes plantear:
x = u,
y = v,
z = 9,
con u ∈ R y v ∈ R,
que es un sistema de ecuaciones cartesianas paramétricas que corresponde al plano.
b)
Planteas la relación entre los cosenos de los ángulos directores, y queda:
cos2α + cos2β + cos2γ = 1, reemplazas datos, y queda:
cos2(60°) + cos2(90°) + cos2γ = 1, resuelves términos, cancelas el término nulo, y queda:
1/4 + cos2γ = 1, restas 1/4 en ambos miembros, y queda
cos2γ = 3/4, extraes raíz cuadrada en ambos miembros (observa que elegimos la raíz negativa), y queda:
cos(γ) = -√(3)/2, compones en ambos miembros con la función inversa del coseno, y queda: γ = 150°;
luego, planteas la expresión de un vector director genérico de una recta, en función de los cosenos de sus ángulos directores, y queda:
U = < cos(α) , cos(β) , cos(γ) >, reemplazas valores, y queda:
UM = < 1/2 , 0 , -√(3)/2 >,
luego, con las coordenadas del punto B y las componentes del vector UM, planteas el sistema de ecuaciones cartesianas paramétricas
de la recta M, y queda:
x = -1 + (1/2)t,
y = 0 + 0t,
z = 1 - (√(3)/2)t,
con t ∈ R;
resuelves el segundo miembro de la segunda ecuación, y el sistema queda:
x = -1 + (1/2)t,
y = 0,
z = 1 - (√(3)/2)t,
con t ∈ R;
despejas el parámetro (t) en la primera y en la tercera ecuación, igualas expresiones, y queda:
2(x + 1) = -2(z - 1)/√(3), multiplicas en ambos miembros por √(3)/2, y queda:
√(3)*(x + 1) = -(z - 1), distribuyes en ambos miembros, y queda:
√(3)x + √(3) = -z + 1, sumas z en ambos miembros, restas √(3) en ambos miembros, y queda:
√(3)x + z = 1-√(3);
luego, con las dos ecuaciones remarcadas, tienes un sistema de ecuaciones cartesianas correspondiente a la recta M:
√(3)x + z = 1-√(3),
y = 0.
c)
Tienes un vector normal al plano:
Nπ = < 0 , 0 , 1 >, cuyo módulo es: |Nπ| = 1 (2).
Tienes un vector director de la recta:
UM = < 1/2 , 0 , -√(3)/2 >, cuyo módulo es: |UM| = 1.
Luego, planteas la expresión del producto escalar entre dichos vectores en función de los módulos del ángulo determinado por ellos, y
queda:
|Nπ|*|UM|*cos(θ) = Nπ • UM,
reemplazas los valores de los módulos en el primer miembro, sustituyes las expresiones de los vectores en el segundo miembro, y queda:
1*1*cos(θ) = < 0 , 0 , 1 > • < 1/2 , 0 , -√(3)/2 >, resuelves el primer miembro, resuelves el producto escalar en el segundo miembro, y
queda:
cos(θ) = -√(3)/2, compones en ambos miembros con la función inversa del coseno, y queda:
θ = 150°,
que es la medida del ángulo que forman el vector normal al plano y el vector director de la recta.
Espero haberte ayudado.