
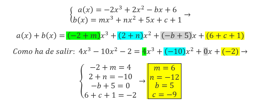
Planteas la suma de los dos polinomios, queda:
a(x) + b(x) = (-2x3 + 2x2 - bx + 6) + (mx3 + nx2 + 5x + c+1),
reduces términos de igual grado, y queda:
a(x) + b(x) = (-2+m)x3 + (2+n)x2 + (-b+5)x + (c+7) (1).
Luego, tienes la igualdad entre polinomios de tu enunciado (observa que completamos la expresión en el segundo miembro):
a(x) + b(x) = 4x3 - 10x2 + 0x - 2,
sustituyes la expresión señalada (1) en el primer miembro, y queda:
(-2+m)x3 + (2+n)x2 + (-b+5)x + (c+7) = 4x3 - 10x2 + 0x - 2;
luego, por igualdad entre polinomios , igualas coeficientes de términos con grados iguales, y queda el sistema de ecuaciones:
-2 + m = 4, aquí sumas 2 en ambos miembros, y queda: m = 6,
2 + n = -10, restas 2 en ambos miembros, y queda n = -12,
-b + 5 = 0, sumas b en ambos miembros, y queda: 5 = b,
c + 7 = -2, restas 7 en ambos miembros, y queda: c = -9.
Luego, tienes las expresiones de los polinomios:
a(x) = -2x3 + 2x2 - bx + 6,
b(x) = mx3 + nx2 + 5x + c+1;
luego, reemplazas los valores remarcados, resuelves coeficientes, y queda:
a(x) = -2x3 + 2x2 - 5x + 6,
b(x) = 6x3 - 12x2 + 5x - 8.
Espero haberte ayudado.
Hola quisiera saber si es correcto. Gracias
f(x)= (x²-9) / (x-11) escribir el conjunto B= {x∈ℛ / f(x)<0} como intervalos o unión de intervalos disjuntos.
(x²-9) / (x-11)<0
(x²-9) <0 x<3 y x<-3
y
(x-11)<0 x<11
Respuesta B= (-∞;11)
Desde ya muchas gracias
Hola unicoos, me podrían ayudar con el siguiente ejercicio por favor.
Sea R la region acotada por x^2+y^2+z^2=2 y superior a z=x^2+y^2. Exprese las integrales de volumen en coordenadas cartesianas, cilíndricas y esféricas.

¡Hola! Nos encantaría ayudarte, pero no solemos responder dudas universitarias que no tengan que ver específicamente con los vídeos que David Calle ha grabado como excepción. O de otras asignaturas que no sean Matemáticas, Física y Química. Lo sentimos de corazón… Esperamos que lo entiendas.
Ojalá algún unicoo universitario se anime a ayudarte (de hecho, lo ideal es que todos los universitarios intentarais ayudaros los unos a los otros).