Hola unicoos, tengo dos preguntas que hacerles, ¿ Cómo resuelvo las características generales de las funciones seno y coseno? Y también quería saber qué significa la letra "k" al desarrollar las características generales. Eso es todo gracias.![]()

Lo siento pero no entiendo tu duda... Por si te ayuda... Representación de una función coseno
Debes calcular el área del primer cuadrado sombreado, luego el del segundo, luego el del tercero, y así sucesivamente hasta que te des cuenta que relación hay entre estos números. Cuando tengas la progresión geométrica donde cada término es el área de cada uno de los cuadrados sombreados solamente tendrás que sumar todos estos términos.
Para calcular el perímetro debes actuar de la misma forma, es decir, calcular el perímetro del primer cuadrado sombreado, luego el del segundo, ...
En que casos se cumple que un subespacio de polinomio Px [lR] es subespacio?

Me encantaría ayudarte, pero no respondo dudas universitarias que no tengan que ver específicamente con los videos que ya he grabado como excepcion. O de otras asignaturas que no sean matemáticas, física y química. Lo siento de corazón… Espero lo entiendas
Ojalá algun unicoo universitario se anime a ayudarte (de hecho lo ideal es que todos los universitarios intentarais ayudaros los unos a los otros)
"Marta tiene un número de libros comprendido entre 500 y 1000. Está colocándolos en una estantería. Si coloca 12 en cada estante, quedan 11 libros en el último; si pone 14 en cada estante, en el último coloca 13; y cuando los ordena de 15 en 15, en el único estante coloca 14. ¿cuántos libros tiene Marta?
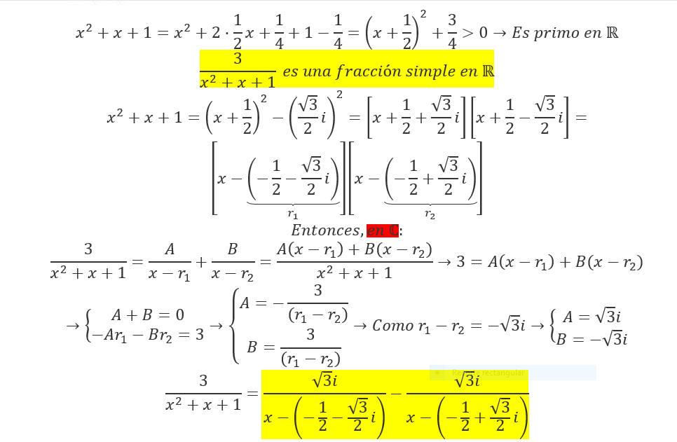
Hola necesito ayuda con este ejercicioNo se si lo realice bien. Gracias.
Supongamos que una plancha metálica mide 3m de base y 5m de altura y la densidad de níquel en cada punto (x, y) de la plancha es de 100- 2(x+y) gramos/m^2, donde x es la distancia del punto al borde izquierdo de la plancha e y es la distancia del punto a la base de la plancha.
a. Hallar la masa en gramos de níquel en toda la plancha.b. Si se corta la plancha en diagonal desde el vértice inferior izquierdo al superior derecho ¿cúanto níquel hayen cada uno de los dos triángulos?![]()

¡Hola! Nos encantaría ayudarte, pero no solemos responder dudas universitarias que no tengan que ver específicamente con los vídeos que David Calle ha grabado como excepción. O de otras asignaturas que no sean Matemáticas, Física y Química. Lo sentimos de corazón… Esperamos que lo entiendas.
Ojalá algún unicoo universitario se anime a ayudarte (de hecho, lo ideal es que todos los universitarios intentarais ayudaros los unos a los otros).