Hola buenas
Tengo una duda en un ejercicio. La función gasto G(x) viene determinada por 0,2x -10 si 0 ≤ x ≤ 1000 y 475x / 2x+500 si x mayor que 1000. G es gasto en ocio y x ingreso familias en euros.
Mi pregunta es la siguiente. ¿Realiza alguna familia un gasto en ocio superior a los 150 euros?
Un saludo. Muchas gracias
Tengo un problema con los subespacios de polinomios P3 [lR] por ejemplo porque a veces no es subespacio y hay veces guando por ejemplo se dice que su grado es menor o igual a 3 en este caso??
Ayudaa
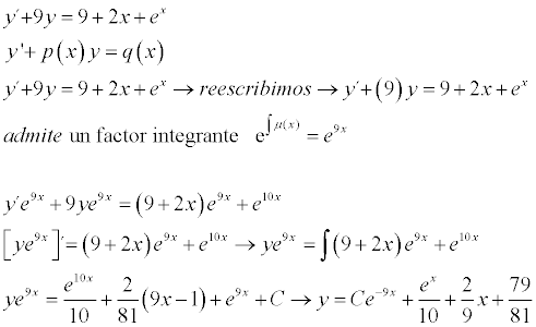
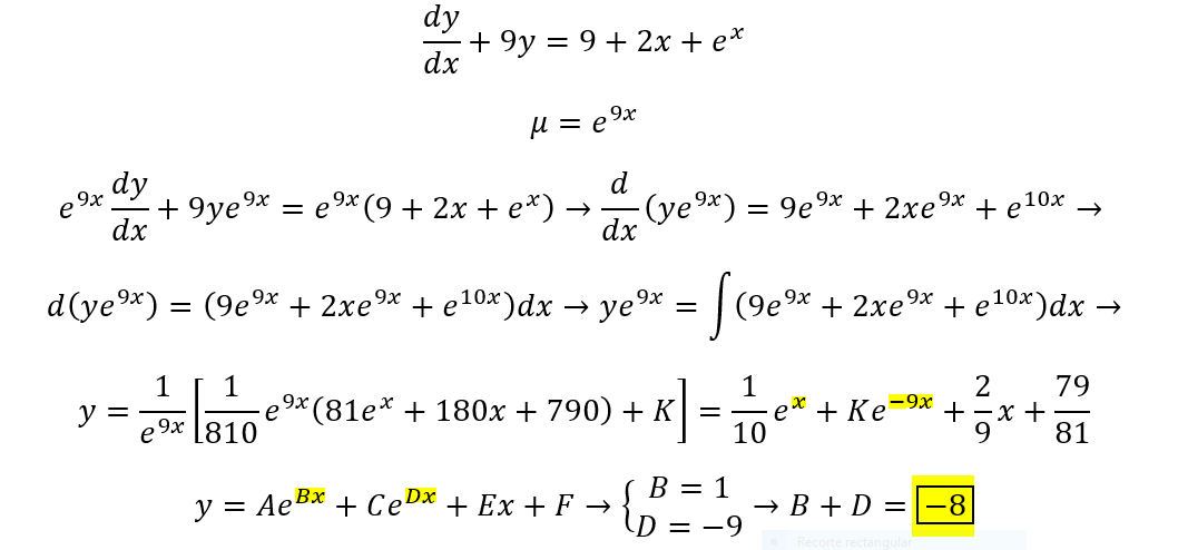
Hola foro,tengo una duda. Cuando se trabaja por el método de frobenius para desarrollar una Ec Diferencial.Cuando ya vamos hallar "r" y nos queda dos constantes C0 Y C1 como se desarrolla el ejercicio?Espero puedan ayudarme, ya que la mayoría de ejemplos solo muestran cuando solo aparece una constante(C0
).Saludos :D

¡Hola! Nos encantaría ayudarte, pero no solemos responder dudas universitarias que no tengan que ver específicamente con los vídeos que David Calle ha grabado como excepción. O de otras asignaturas que no sean Matemáticas, Física y Química. Lo sentimos de corazón… Esperamos que lo entiendas.
Ojalá algún unicoo universitario se anime a ayudarte (de hecho, lo ideal es que todos los universitarios intentarais ayudaros los unos a los otros).
Hola, tengo el problema de otimización de aqui bajo:
He seguido los pasos de aqui bajo y al llegar a la derivada me sale con potencia fraccionada, no se si esta bien, y si lo esta no se como calcularlo.
si alguien me puede indicar, seria una gran ayuda
1)
Al asumir sólo dos valores posibles para su contenido unitario, la álgebra booleana permitió una serie de asociaciones para su comprensión.
Dada la siguiente tabla,
X Y?
0 0 0
1 0 0
0 1 0
1 1 1
El resultado que produce estos valores, que está simbolizado por una interrogación será:
alternativas:
a)
X + Y
b)
X. Y
c)
X - Y
d)
X + NOT Y
e)
X. Y + Y
2)
Al asumir sólo dos valores posibles para su contenido unitario, la álgebra booleana permitió una serie de asociaciones para su comprensión.
Dada la siguiente tabla,
X Y?
0 0 0
1 0 1
0 1 1
1 1 1
El resultado que produce estos valores, que está simbolizado por una interrogación será:
alternativas:
a)
X + Y
b)
X. Y
c)
X-Y
d)
X + NOT Y
e)
X. Y + X
3)
Al asumir sólo dos valores posibles para su contenido unitario, la álgebra booleana permitió una serie de asociaciones para su comprensión.
Dada la siguiente tabla,
X Y X NOTY
0 0 X
1 0 Y
0 Z 1
1 1 T
La representación resultante por X NOT Y:, señale la secuencia que completa correcta y respectivamente la tabla con los valores-verdad de x, y, z, t.
alternativas:
a)
0,0,0,0
b)
1,1,1,1
c)
0,1,0,1
d)
1,0,1,0
e)
1,1,0,0
4)
Al asumir sólo dos valores posibles para su contenido unitario, la álgebra booleana permitió una serie de asociaciones para su comprensión.
Dada la siguiente tabla,
X Y X. Y + X
0 x 0
0 y 1
0 z 1
1 t 1
La representación resultante por: X. Y + X, señale la secuencia que completa correcta y respectivamente la tabla con los valores-verdad de x, y, z, t.
alternativas:
a)
0,0,0,0
b)
1,1,1,1
c)
0,1,0,1
d)
1,0,1,0
e)
1,1,1,0
5)
Al asumir sólo dos valores posibles para su contenido unitario, la álgebra booleana permitió una serie de asociaciones para su comprensión.
Banca UFMT - Politec- MT, 2017 (adaptada)
Considere la tabla-verdad abajo, en que en las dos primeras columnas se encuentran los valores-verdad de dos proposiciones A y B.
Considere que V se utiliza para la proposición verdadera y F para la proposición falsa.
Marque la secuencia que completa correcta y respectivamente la tabla con los valores-verdad de x, y, z, t.
alternativas:
a)
V, F, V, V
b)
V, F, F, F
c)
F, V, V, F
d)
F, V, F, V
e)
V, V, V, V

¡Hola! Nos encantaría ayudarte, pero no solemos responder dudas universitarias que no tengan que ver específicamente con los vídeos que David Calle ha grabado como excepción. O de otras asignaturas que no sean Matemáticas, Física y Química. Lo sentimos de corazón… Esperamos que lo entiendas.
Ojalá algún unicoo universitario se anime a ayudarte (de hecho, lo ideal es que todos los universitarios intentarais ayudaros los unos a los otros).