Hola Unicoos. Necesito ayuda para encontrar la matriz inbertible de P sabiendo que me dan la matriz A y ya he calculado la matriz de Gauss-Jordan de A. Sería agradable si me lo pudiesen indicar por pasos. Muchísimas gracias de nuevo

Es una ecuacion matricial... Si P.A= G...... P= G. A^(-1)
Te tocará hallar la matriz inversa de A....
Ecuaciones matriciales
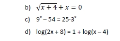
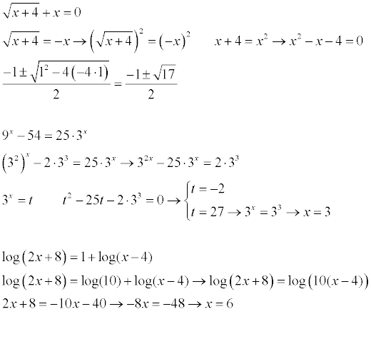
Hola me pueden ayudar con esto es q he hecho el parcial de mates y no estoy muy segura
solo una aclaración en la imagen inciso d) he puesto minorée y majorée entre parentisis porque no se la traducción exacta en español pero creo q es como valor mínimo y máximo
gracias 😊

¡Hola! Nos encantaría ayudarte, pero no solemos responder dudas universitarias que no tengan que ver específicamente con los vídeos que David Calle ha grabado como excepción. O de otras asignaturas que no sean Matemáticas, Física y Química. Lo sentimos de corazón… Esperamos que lo entiendas.
Ojalá algún unicoo universitario se anime a ayudarte (de hecho, lo ideal es que todos los universitarios intentarais ayudaros los unos a los otros).
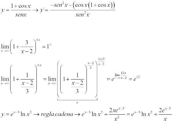
Buenas tardes, preciso ayuda con estos ejercicios. Son 2 derivadas y un límite, claro.
Gracias, saludos cordiales.
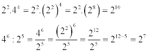
Hola! me podríais decir cómo se hacen estas dos operaciones? gracias!
22.44=
46:25=