Hola,
Tengo una duda con una e.d.o. de primer orden. He llegado a una solución pero no se corresponde con la que me da el ejercicio. Podríais decirme donde tengo el error?
Muchas gracias!!!

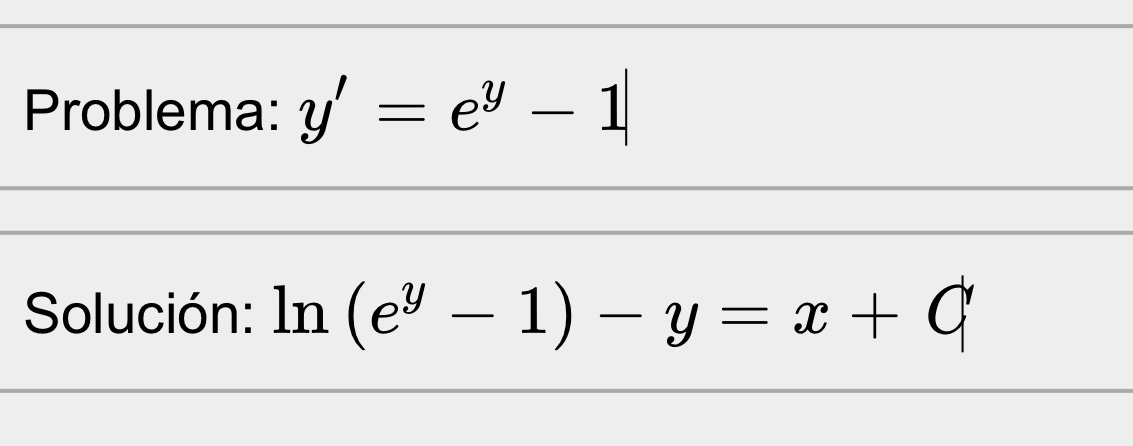
Vas muy bien hasta la separación de variables, donde la ecuación integral te ha quedado:
∫ ( 1/(ey-1) )*dy = ∫ 1*dx (1).
Luego, observa que para la integral del primer miembro puedes plantear la sustitución (cambio de variable):
y = lnu, de donde tienes:
dy = (1/u)*du (2), y también tienes:
ey - 1 = elnu - 1 = u - 1 (3), y también tienes:
ey = u (4);
luego, tienes la integral del primer miembro de la ecuación señalada (1):
∫ ( 1/(ey-1) )*dy = sustituyes las expresiones señaladas (2) (3), y queda:
= ∫ ( 1/(u-1) )*(1/u)*du = resuelves la multiplicación de expresiones fraccionarias, y queda:
= ∫ ( 1 / u*(u-1) )*du =
resuelves esta integral (observa que debes aplicar el Método de las Fracciones Parciales, tarea que queda para que hagas), y queda:
= ∫ ( -1/u + 1/(u-1) )*du = integras, y queda:
= -lnu + ln(u-1) + C1 = sustituyes la expresión señalada (4), y queda:
= -ln(ey) + ln(ey-1) + C1, resuelves el primer término, y queda:
= y + ln(ey-1) + C1 (5).
Luego, observa que la integral del segundo miembro es directa
∫ 1*dx = x + C2 (6).
Luego, sustituyes las expresiones señaladas (5) (6) en la ecuación integral señalada (1), y queda:
y + ln(ey-1) + C1 = x + C2,
restas C1 en ambos miembros, y queda:
y + ln(ey-1) = x + C2 - C1,
expresas a la resta entre constantes arbitrarias como una nueva constante, y queda:
y + ln(ey-1) = x + C,
que es una solución general de la ecuación diferencial que tienes en tu enunciado, presentada en forma implícita.
Espero haberte ayudado.

¡Hola! Nos encantaría ayudarte, pero no solemos responder dudas universitarias que no tengan que ver específicamente con los vídeos que David Calle ha grabado como excepción. O de otras asignaturas que no sean Matemáticas, Física y Química. Lo sentimos de corazón… Esperamos que lo entiendas.
Ojalá algún unicoo universitario se anime a ayudarte (de hecho, lo ideal es que todos los universitarios intentarais ayudaros los unos a los otros).

Observa que puedes representar a la curva mediante su función vectorial con parámetro x, y queda:
r(x) = < x , √(x+7)-3 >,
derivas con respecto a x, y la expresión general de sus vectores tangentes queda:
r ' (x) = < 1 , 1 / 2√(x+7) >,
evalúas esta expresión para el punto en estudio (observa que su abscisa es x = 2), y queda:
r ' (2) = < 1 , 1/6 > (1),
cuyo módulo es:
|r ' (2)| = √( 12 + (1/6)2 ) = √(37/36) = √(37)/6 (2);
luego, planteas la expresión del vector tangente unitario en la dirección positiva del eje x, y queda:
T(2) = r ' (2) / |r ' (2)|, reemplazas las expresiones señaladas (1) (2), y queda:
T(2) = < 1 , 1/6 > / (√(37)/6) = < 6/√(37) , 1/√(37) >,
y como en tu enunciado tienes que debes calcular la derivada direccional de la función en la dirección de la recta tangente, pero con el sentido correspondiente al decrecimiento de los valores de la abscisa x, entonces tienes que el vector unitario dirección queda expresado:
u = -T(2) = < -6/√(37) , -1/√(37) >.
Luego, como tienes que calculara la derivada direccional de una función que es diferenciable en el punto en estudio,evalúas la expresión de su vector gradiente para dicho punto: ∇f(2,0), y la expresión de la derivada direccional queda:
Duf(2,0) = ∇f(2,0)∗u,
y solo queda que resuelvas el producto escalar de dos vectores que tienes en el segundo miembro de esta última ecuación.
Espero haberte ayudado.
se trata del análisis de convergencia. Aquí van todas las integrales con la que tengo dificultad. Si alguien puede ayudarme, les agradecería mucho !!

¡Hola! Nos encantaría ayudarte, pero no solemos responder dudas universitarias que no tengan que ver específicamente con los vídeos que David Calle ha grabado como excepción. O de otras asignaturas que no sean Matemáticas, Física y Química. Lo sentimos de corazón… Esperamos que lo entiendas.
Ojalá algún unicoo universitario se anime a ayudarte (de hecho, lo ideal es que todos los universitarios intentarais ayudaros los unos a los otros).
hola
seria un placer para mi, recibir su ayuda.
tengo problemas para encontrar el ciclo de hamilton al grafo que adjunto en la imagen, me gustaría que me ayuden a encontrarlo, y en caso que no se pueda dar una explicacion del mismo.
muchas gracias

¡Hola! Nos encantaría ayudarte, pero no solemos responder dudas universitarias que no tengan que ver específicamente con los vídeos que David Calle ha grabado como excepción. O de otras asignaturas que no sean Matemáticas, Física y Química. Lo sentimos de corazón… Esperamos que lo entiendas.
Ojalá algún unicoo universitario se anime a ayudarte (de hecho, lo ideal es que todos los universitarios intentarais ayudaros los unos a los otros).
No cumple el Teorema Dirac, aunque eso no es suficiente para afirmar que no tiene un ciclo de hamilton.
Prueba con este teorema : Si G es un grafo hamiltoniano y H un subgrafo de G obtenido eliminando n vertices (y las aristas incidentes en ellos), entonces el numero de componentes conexas de H es menor o igual que n.
Y asi si no es hamiltoniano lo justificas.
Buenas Unicoos. Imagino que no hay manuales sobre demostraciones matemáticas, podrian recomendarme algún libro o libros que se refieran no solamente a las demostraciones matemáticas, sino a los métodos, requisitos, técnicas, tips, estructura y formas de organizar una demostracion matematica con ejemplos o sin ellos, me es más agradable demostrar fórmulas o propiedades que usarlas directamente y así concibo y retengo mejor los conceptos sin ayuda de formularios, además que me doy a entender mejor.