Foro de preguntas y respuestas de Matemáticas

logo beUnicoos
Los foros de unicoos se han unificado en nuestra nueva plataforma beUnicoos. Para dejar nuevas preguntas deberás hacerlo allí, donde además podrás encontrar nuevas asignaturas y herramientas para ayudarte más con tus estudios.

  • icon

    Diana Paz
    el 23/10/18

    holaa alguien me podria ayudar con esto.. a mi me da que a=1 unica solucion, a=o no hay solucion y a=2 tiene infinitas soluciones no se si este bien 

    replythumb_up0 voto/sflag
    icon

    César
    el 23/10/18

    https://matrixcalc.org/es/slu.html#solve-using-Gaussian-elimination%28%7B%7Ba,-2,1,1%7D,%7B1,a,2,a%7D,%7B1,0,1,1%7D%7D%29


    thumb_up0 voto/sflag
  • icon

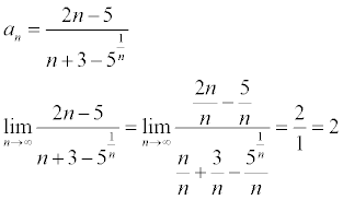
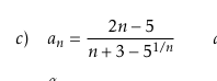
    Adela
    el 23/10/18

    Debo de hallar el límite de esta sucesión , alguien podría ayudarme?

    replythumb_up0 voto/sflag
    icon

    César
    el 23/10/18



    thumb_up0 voto/sflag
  • icon

    lilydita ledesma
    el 23/10/18

    1. Hola, por favor me podrían ayudar con el punto "j" es el último que me falta realizar...muchas gracias 

    replythumb_up0 voto/sflag
    icon

    César
    el 23/10/18


    thumb_up0 voto/sflag
  • icon

    Jorge
    el 23/10/18

    Buenas tardes.



    Podrían por favor ayudarme en este problema que me está dando mil vueltas :

    Tadeo y su papá nacieron en el mes de septiembre, Tadeo escribió el año en el que nació el y el año en el que nació su papá, después escribió su edad y la edad de su papá si al final suma los cuatro números que escribió , ¿Cual fue el resultado de la suma de Tadeo?

    replythumb_up0 voto/sflag
    icon

    César
    el 23/10/18


    thumb_up0 voto/sflag
  • icon

    Uriel Dominguez
    el 23/10/18

    Que tal, me ayudarían con el ejercicio 13?  

    replythumb_up0 voto/sflag
    icon

    Antonius Benedictus
    el 23/10/18


    thumb_up1 voto/sflag
  • icon

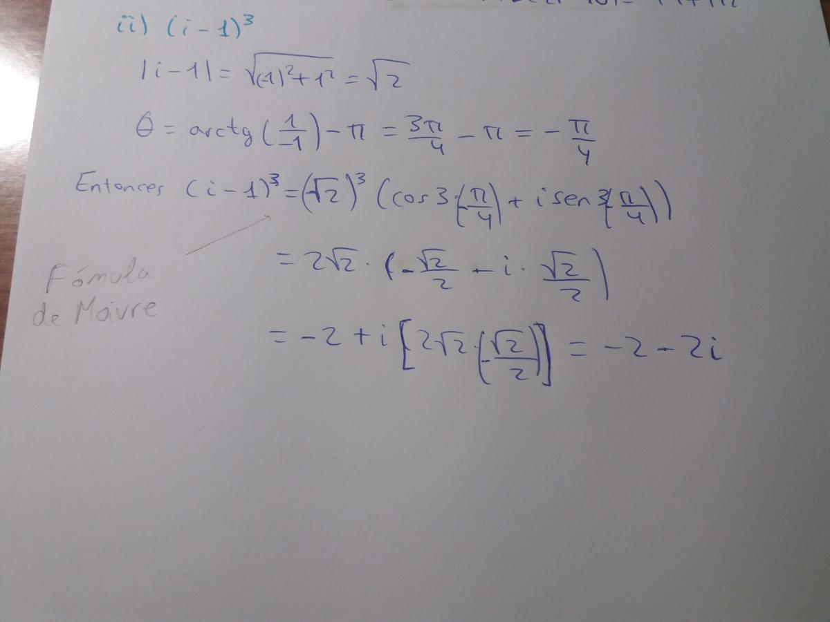
    Rubén
    el 23/10/18

    Hola unicoos, ¿he realizado bien este ejercicio sobre números complejos? Me pedían calcular (i-1)^3


    replythumb_up0 voto/sflag
    icon

    Antonius Benedictus
    el 23/10/18

    El arg(-1+i)=3pi/4

    thumb_up0 voto/sflag
    icon

    Rubén
    el 23/10/18

    ¿Por qué?

    thumb_up0 voto/sflag
    icon

    Antonius Benedictus
    el 23/10/18

    Dibújalo y verás.

    thumb_up0 voto/sflag
  • icon

    Giampier Alfonso Carrion Huaripata
    el 23/10/18

    Buenas me pueden ayudar con este ejercicio, gracias de antemano.


    replythumb_up1 voto/sflag
    icon

    Antonius Benedictus
    el 23/10/18


    thumb_up0 voto/sflag
  • icon

    Daniel Jimenez
    el 22/10/18

    Buenas noches, presento errores en este tipo de ejercicios y no sé resolverlo.

    Me podrían ayudar?

    Muchas gracias 

    replythumb_up0 voto/sflag
    icon

    Antonius Benedictus
    el 23/10/18

    Sube foto del enunciado original.

    thumb_up0 voto/sflag
  • Usuario eliminado
    el 22/10/18

    ¿Cómo se resuelve 5^x+5^x-1+x^x-2=31 ? Llevo un par de días con el y puede conmigo. Gracias

    replythumb_up0 voto/sflag
    icon

    Antonius Benedictus
    el 23/10/18

    Pon foto del enunciado original.

    thumb_up1 voto/sflag
  • icon

    mario91464 Alvarez
    el 22/10/18

    Como se hace él 13?

    replythumb_up0 voto/sflag
    icon

    Antonius Benedictus
    el 22/10/18

    La solución que aportas NO es correcta:


    thumb_up0 voto/sflag