Hola Unicoos, alguien podría explicarme cómo se realiza el siguiente ejercicio, es que como está expresado en forma de vectores me confundo. Muchas gracias de antemano.

Hola! Me encantaría ayudarte, pero no respondo dudas universitarias que no tengan que ver específicamente con los videos que ya he grabado como excepcion. O de otras asignaturas que no sean matemáticas, física y química. Lo siento de corazón… Espero lo entiendas
Ojalá algun unicoo universitario se anime a ayudarte (de hecho lo ideal es que todos los universitarios intentarais ayudaros los unos a los otros)

Tienes el determinante:
D =
3 0 1
3x 2y z
6 8 6.
Extraes el factor común 3 de la primera columna, y queda:
D =
1 0 1
3* x 2y z
2 8 6.
Extraes el factor común 2 de la segunda columna, y queda:
D =
1 0 1
3*2* x y z
2 4 6.
Permutas las dos primeras filas (recuerda que el determinante cambia de signo), y queda:
D =
x y z
3*2*(-1)* 1 0 1
2 4 6.
Reemplazas el valor del determinante que tienes en tu enunciado, y queda:
D = 3*2*(-1)*1 = -6.
Espero haberte ayudado.
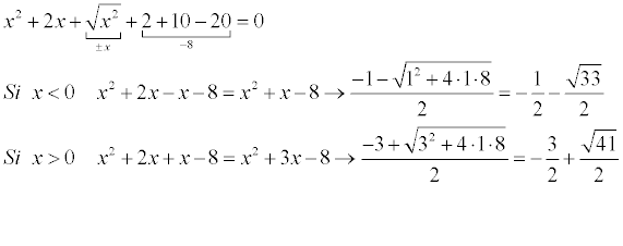
Donde puedo encontrar algún tutorial a parte de unicoos, que expliquen todo lo que tiene que ver con ecuaciones superior de grado 2? Tengo ejercicios que no se cómo hacerlo y quisiera hacerlo por mi misma. Tengo ecuaciones con raíces y con fracciones y no se cómo hacerla, además algunas incompletas en cuanto a los grados. Gracias.

Todos los de youtube explican los ejercicios más fáciles :D por eso quiero uno que me expliquen una difícil parecida a las que tengo :D; por ejemplo esta:
x2+2x+√x2+2+10-20=0 P.D la raíz cuadrada llega hasta el #10 el 20 queda fuera de raíz. Y gracias entonces si me pueden ayudar.
ns que hay que hacer en este ejercicio alguien me ayuda porfa pone escribir la equatio pero ns que ecuacion muchisimas gracias de antimano
Buenas tardes unicoos. OS dejo aquí dos ejercicios a ver si me podríais ayudar porque la verdad es que ando bastante perdido. Gracias de antemano.
Hola buenos días!! Estoy cursando ingeniería informática y la semana que viene tengo examen de números reales y complejos. Me he mirado todos los vídeos de complejos y los entiendo bastante bien pero tengo un ligero problema...
Y es que el profesor dijo que tacharía todo calculo hecho con grados ya que según el es una forma muy bruta y sucia de resolver complejos. Por lo tanto quiere que lo resolvamos con el numero pi y exponencial e. El problema es que tanto yo como mi clase no sabemos ni como empezar y el profe se desentiende. Podríais explicar resolverlo de esta forma? Ya sea por vídeo o escrito de tal forma que se pueda entender mejor ya que para mi me parece un método de resolver muy abstracto y no lo pillo. Gracias!!