
¡Hola! Nos encantaría ayudarte, pero no solemos responder dudas universitarias que no tengan que ver específicamente con los vídeos que David Calle ha grabado como excepción. O de otras asignaturas que no sean Matemáticas, Física y Química. Lo sentimos de corazón… Esperamos que lo entiendas.
Ojalá algún unicoo universitario se anime a ayudarte (de hecho, lo ideal es que todos los universitarios intentarais ayudaros los unos a los otros).
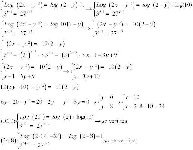
Hola David!! no tengo muy claro resolver sistemas de ecuaciones logaritmicas con letras como exponente... aquí te dejo una que no sé resolver:
Log (2x -y ²)= log (2-y)+1
3x-1 = 27y+3
Gracias por adelantado!🙌
÷Hola Unicoos, Tengo una duda en el tema de logaritmos, para calcular el logaritmo en función de otros tres. No puedo poner el denominador en funcion de los logaritmos que ya conozco y me he quedado atascada. Si me podéis ayudar,... GRACIAS
Sabiendo
que llog2=0.3010, log3=04771 y log7=0.851, calcular log (1323÷627)¼
Están bien resueltos esos ejercicios? Tengo duda, se supone que dónde se presenta un pico se supone que no es derivable, pero para saber si es un pico... A qué gráfica debo de hacerle caso, a la de la derivada o a la de la función original? En estos ejercicios no me pide gráfica pero eso me deja con la duda. ![]()

Ambos ejercicios los tienes bien.
En cuanto a la pregunta de los gráficos. No me queda del todo clara la duda.
Puedes identificar o estimar cuando hay un pico en cualquiera de los dos gráficos según que es lo que observes.
En el gráfico de la función original, tendrías que imaginarte la recta tangente al gráfico. Imagina un par de rectas tangentes al gráfico, una por izquierda y otra por derecha, las haces tender a un punto, ¿las dos rectas terminan coincidiendo?. Si la respuesta es que no coinciden, es un pico. Eso es lo que debes tratar de visualizar en el gráfico de la función original.
Salvo en unos casos de picos bastante particulares, en un pico, estas rectas no terminan coincidiendo. Y por lo tanto sus pendientes serán diferentes. La pendiente por izquierda es una cosa y la pendiente por derecha es otra. Y esto en el gráfico de la derivada se traduce como una discontinuidad de la función, un salto vertical en un determinado x. Un salto vertical en la derivada indica un pico. Y eso es lo que debes observar en el gráfico de la derivada.
Ejemplo gráfico:
Ayuda por favor; no se como hacerla esta ecuación superior (x+1/x)2 +4(x+1/x)=12 Gracias.

Depende de los paréntesis y como sea el enunciado original. En informática o en una calculadora hay que tener mas cuidado con los paréntesis que cuando escribimos en un papel.
En el caso x+1 = (x+1)/x Se resuelve primero x+1 y luego se divide todo eso por x
x
En el caso x + 1 = x+1/x Se resuelve primero 1/x y luego se le suma x
x
Hola! Me gustaría si me pudieseis ayudar con esta ecuación:
9=(6^x)/(12^√x)
De paso me gustaría ayudar a los demás con sus dudas y me encantaría saber que aplicaciones usáis vosotros para ello. Uno de los unicoos más activo que he visto en este aspecto ha sido César, cuya métodologia me ha parecido excelente. Gracias de antemano