hola unicoos ! se me propone el siguiente ejercicio:
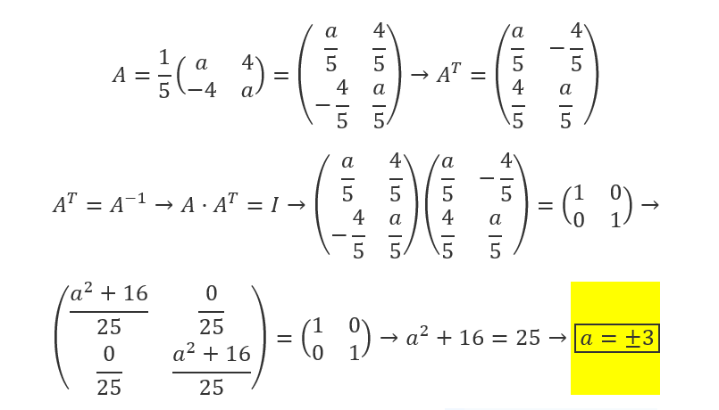
calcular los valores de "a" para los cuales la inversa de la matriz
A= 1/5 * (a 4
-4 a)
coincida con su transpuesta.
GRACIAS!
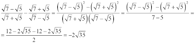
Hola, el ejercicio es de racionalizar y simplificar, tengo apuntado como resultado 6- raiz cuadrada de 35 pero no hay manera si me pueden poner cuantos más pasos mejor gracias de antemano.

Gracías creo que lo entiendo menos en el segundo paso, cuando haces (√7 -√5)2 no sería un +? debido a que es (√7 -√5)(√7 -√5) e igual con la otra (√7 +√5)(√7 +√5) que en este caso creo que daría igual por que sería lo mismo cambiar el signo en ambos sitios pero me gustaría saberlo, muchas gracias por tu respuesta.
Tal y como me habéis dicho, dejo un ejemplo de un ejercicio en el que se debería de resolver en radianes nada de grados. Ademas, mi profe también quiere que el procedimiento lo hagamos con el exponencial e.
Sea:
z = -½ + ½i
Calcular:
∛z^4 ←"z elevado a 4"
Buenas, he visto todos los videos de numeros complejos que están muy bien pero en mi caso necesitaría saber resolverlo en radianes con el exponente e. Se que hay una correspondencia entre grados y radianes pero lo que no entiendo es hacer el mismo procedimiento en radianes solamente ya que mi profe no deja hacer nada en grados (un profe maníaco tengo). Alguien me puede ayudar?
Hola, ¿me podría explicar en que consiste un logaritmo neperiano y por qué es necesario usarlo a la hora de resolver un problema de interés compuesto como este? Y sobre todo, ¿me podría decir cuando hay que emplear un logaritmo neperiano?

Recuerda la ecuación para calcular el monto:
C*(1 + i)n = M,
y observa que la incógnita en este problema es el exponente de la potencia en el segundo factor del primer miembro, por lo que este es uno de los casos en los que debes emplear logaritmos.
Luego, divides por C en ambos miembros, y queda:
(1 + i)n = M/C,
tomas logaritmos neperianos en ambos miembros, y queda:
ln( (1 + i)n ) = ln(M/C),
aplicas la propiedad del logaritmo de una potencia en el primer miembro, aplicas la propiedad del logaritmo de una división en el segundo miembro, y queda:
n*ln(1 + i) = ln(M) - ln(C),
divides por ln(1 + i) en ambos miembros, y queda:
n = ( ln(M) - ln(C) ) / ln(1 + i),
que es la expresión de la cantidad de periodos de capitalización (n) en función del monto final (M), del capital inicial (C) y de la tasa de capitalización.
Luego, tienes los datos de tu enunciado:
n = a determinar,
M = 13926,49 euros,
C = 12000 euros,
i = 0,015 = 1,5 % trimestral = 6 % anual.
Luego, reemplazas valores en la ecuación remarcada, y queda:
n = ( ln(13926,49) - ln(12000) ) / ln(1 + 0,015),
resuelves y queda:
n = 10,00 trimestres = 2,5 años.
Espero haberte ayudado.

Respecto a los logaritmos neperianos. Son logaritmos en base e, donde e es el numero de Euler. ln = loge
Muchas veces se usa el ln puramente por costumbre.
Fíjate que en la solución que te ha dado Antonio da igual si usas ln, log10 , log2 o un logaritmo cualquiera, y es que en este caso se aplica el logaritmo para utilizar propiedades que se cumplen en cualquier logaritmo.
La base e, tanto en logaritmos como en exponenciales, tiene importantes propiedades para el calculo de integrales y derivadas.
Yo no soy demasiado hábil para los números complejos pero se que forma una parte muy importante, sino fundamental, de ellos.
Es decir, si vas por esos caminos, se te empieza a hacer costumbre usar la base e, o hacerle el cambio de base a las exp/log por la base e.
Y llega un punto que si me dices "logaritmo" yo asumo un logaritmo neperiano a menos que se especifique lo contrario.