Buenas, tengo una duda teórica respecto a funciones vectoriales, se sacar el dominio y describir las funciones componentes (que sería evaluar las restricciones, por favor, rectificarme). Pero cuando me piden determinar si la superficie es geométrica o no, ¿a qué se refiere el ejercicio?
Aquí tienen dos ejemplos: f(x,y)=[(1-|x|+y)/(1-x2 -y)]1/2
g(x,y)= ln[e(x^2 + y^2 ) +1]

¡Hola! Nos encantaría ayudarte, pero no solemos responder dudas universitarias que no tengan que ver específicamente con los vídeos que David Calle ha grabado como excepción. O de otras asignaturas que no sean Matemáticas, Física y Química. Lo sentimos de corazón… Esperamos que lo entiendas.
Ojalá algún unicoo universitario se anime a ayudarte (de hecho, lo ideal es que todos los universitarios intentarais ayudaros los unos a los otros).
El foro de física esta un poco desatendido¿alguien se puede pasar a resolver dudas?
Gracias!!
Hola amigos.
¿Alguien puede ayudarme con este ejercicio?
Necesito saber como se hace, ya que no entiendo nada.
En la expresión Fnet = ma, m tiene las dimensiones
A) ML/T2
B) M
C) L/T2
D) L/T
E) ML2/T2
Sé que el resultado es la B, pero no lo entiendo.
Hola a todos. ¿Podéis explicarme como hacer este ejercicio?
Para convertir una cantidad de km/(h · s) a m/s2, hay que:
A) multiplicar por 1000 y dividir entre 60
B) multiplicar por 60 y dividir entre 3600
C) multiplicar por 60 y dividir entre 1000
D) multiplicar por 3600 y dividir entre 1000
E) Ninguna de las anteriores respuestas es correcta
He resuelto varios ejercicios de conversión de unidades, pero este me lía al tener km/(h*s) .
Lo que quiero saber es como lo resolveríais paso a paso. Ya que el lunes tengo examen y no querría que se me atragantara algo tan fácil.
Saludos
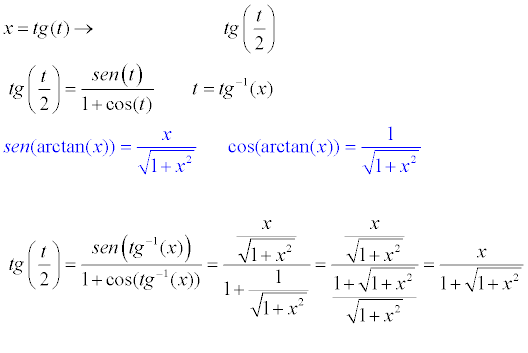
Hola a todos. En clase de Matemáticas de 1º de carrera me piden hallar tg(t/2) en función de x sabiendo que x=tgt.
¿Podríais explicarme qué quiere decir esto y como se resuelve?
¡Gracias!

Vamos con cada factor por separado.
En el numerador:
4-1 = (22)-1 = 2-2,
∛(4) = (4)1/3 = (22)1/3 = 22/3,
64 = 26;
luego reemplazas en la expresión del numerador, y queda:
N = 2-2*22/3*26 = 2-2+2/3+6 = 214/3 (1).
En el denominador:
24 = 24,
510 = 1,
√(2) = 21/2;
luego reemplazas en la expresión del denominador, y queda:
D = 24*1*21/2 = 24*21/2 = 24+1/2 = 29/2 (2).
Luego, planteas la división del numerador entre el denominador, reemplazas las expresiones numéricas señaladas (1) (2), y queda:
N/D = 214/3 / 29/2 = 214/3-9/2 = 21/6 = 6√(2).
Espero haberte ayudado.

Tienes la proposición:
P(n): 1+r+r2+ ... +rn = (1-rn+1)/(1-r), con r≠1, n∈N, n≥0.
Luego, planteamos los pasos del Axioma de Inducción:
1º)
P(0): 1 = (1-r1)/(1-r) que es Verdadera;
2º)
P(h): 1+r+r2+ ... +rh = (1-rh+1)/(1-r), con r≠1, h∈N, h≥0, que aceptamos que es Verdadera (hipótesis inductiva);
3º)
P(h): 1+r+r2+ ... +rh + rh+1 = (1-rh+2)/(1-r), con r≠1, h∈N, h≥0, que debemos probar que es Verdadera (tesis inductiva);
4º)
Demostración:
1+r+r2+ ... +rh + rh+1 = aplicas la hipótesis inductiva = (1-rh+1)/(1-r) + rh+1 =
extraes denominador común, y queda:
= ( 1-rh+1 + (1-r)*rh+1 )/(1-r) =
distribuyes el tercer término en el numerador de la expresión, y queda:
= ( 1-rh+1 + rh+1 - rh+2 )/(1-r) =
cancelas términos opuestos, y queda:
= (1-rh+2)/(1-r),
por lo que puedes concluir que la proposición de tu enunciado es válida para todo n perteneciente al conjunto de los números naturales.
Espero haberte ayudado.

Recuerda el Quinto Axioma de Peano, o Principio de Inducción:
primero, debes demostrar que la proposición es Verdadera para el primer número natural (que en este ejercicio es el cero),
segundo, planteas la Hipótesis Inductiva, la que aceptas como Verdadera,
tercero, planteas la Tesis Inductiva, la que debes demostrar que es Verdadera.
Espero haberte ayudado.
Hola, buenos días... Me podrían confirmar que lo he hecho bien, simplemente he tratado de demostrar que los logaritmos de base negativa no pertenecen a IR... MIL GRACIAS!!! 