Buenas tardes personas que ayudan a hacer el mundo de las mates un mundo más sencillo, os expongo mi problema matemático el cual espero podáis solucionar.
1.1. LA HERENCIA. Don Salvador, un señor de San Lorenzo (Las Palmas de Gran Canaria), desea repartir cierta suma de dinero entre tres herederos: Rosa, Pino y Acaymo, en partes directamente proporcionales a los números 9, 8 y 7. En un segundo testamento cambia las disposiciones anteriores y establece que el reparto sea proporcional a 7, 6 y 5. Uno de los beneficiarios recibiría, así, 3.500.000 euros más que en la primera disposición. ¿Cuál de los herederos gana con el cambio? ¿Cuál de ellos pierde? ¿Cuál es el valor de la herencia y cuánto corresponde a cada uno? Representa gráficamente, mediante modelos globales de áreas (rectangulares), y de conjuntos, las dos disposiciones testamentarias (Total: 4 gráficos). Además, debes escribir en una tabla el valor de la herencia y lo que le corresponde a cada heredero en los dos testamentos.
Gracias de antemano.
Buenas, tengo una duda teórica respecto a funciones vectoriales, se sacar el dominio y describir las funciones componentes (que sería evaluar las restricciones, por favor, rectificarme).
Pero cuando me piden determinar si la superficie es geométrica o no, ¿a qué se refiere el ejercicio?
Aquí tienen dos ejemplos:
f(x,y)=[(1-|x|+y)/(1-x2 -y)]1/2
g(x,y)= ln[e(x^2 + y^2 ) +1]

¡Hola! Nos encantaría ayudarte, pero no solemos responder dudas universitarias que no tengan que ver específicamente con los vídeos que David Calle ha grabado como excepción. O de otras asignaturas que no sean Matemáticas, Física y Química. Lo sentimos de corazón… Esperamos que lo entiendas.
Ojalá algún unicoo universitario se anime a ayudarte (de hecho, lo ideal es que todos los universitarios intentarais ayudaros los unos a los otros).
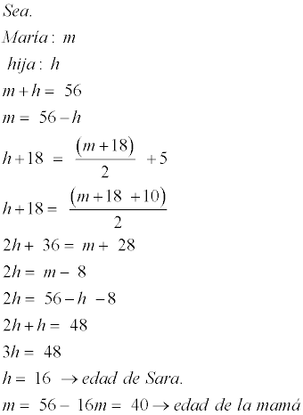
Hola unicoos como resuelvo este problema, gracias.
María y su hija Sara tienen en la actualidad 56 años entre las dos. Si dentro de
18 años Sara tendrá 5 años más que la mitad de la edad de su madre, ¿qué edad
tiene actualmente cada una?

Puedes llamar x a la edad actual de María, y puedes llamar y a la edad actual de Sara.
Luego, observa que tienes el valor de la suma de las edades actuales, por lo que puedes plantear la ecuación:
x + y = 56, aquí restas y en ambos miembros, y queda:
x = 56 - y (1).
Luego, observa que tienes la relación entre las edades de ambas mujeres dentro de dieciocho años, por lo que puedes plantear la ecuación:
y+18 = (x+18)/2 + 5, aquí multiplicas por 2 en todos los términos, y queda:
2y + 36 = x + 18 + 10, restas 36 en ambos miembros, reduces términos semejantes, y queda:
2y = x - 8 (2).
Luego, sustituyes la expresión señalada (1) en la ecuación señalada (2), y queda:
2y = 56-y - 8, sumas y en ambos miembros, reduces términos semejantes, y queda:
3y = 48, divides por 3 en ambos miembros, y queda:
y = 16;
luego, remplazas el valor remarcado en la ecuación señalada (1), resuelves, y queda:
x = 40.
Luego, puedes concluir que al día de hoy María tiene 40 años y Sara tiene 16 años,
y que dentro de dieciocho años María tendrá 58 años y Sara tendrá 34 años.
Espero haberte ayudado.
Buenos días, una pequeña duda.
Estoy haciendo un ejercicio de inducción matemática y asumo que (2n-2)! < 2^(2n - 2)*((n-1)!)^2
Ahora desarrollando el problema he llegado a que (2n-1)(2n-2)! < 2*n*2^(2n - 2)*((n-1)!)^2
Puedo afirmar que se cumple siempre que 2n-1 <= 2n ??
Gracias.
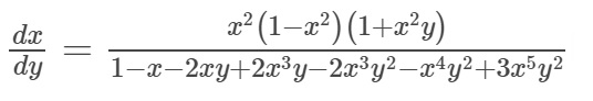
No dispongo de él porque se dictó en clase, pero quiero demostrar:![]()
Entonces he comprobado que para n = 1, 2 < 4
Y he asumido que para todo n > 1, 2(n-1)! < 2^(2(n - 1)) * ((n-1)!)^2 ==> (2n-2)! < 2^(2n - 2)*((n-1)!)^2
Ahora tengo que demostrar lo del enunciado y he llegado a la expresión que he puesto desarrollando (2n)! < 2^(2n)*(n!)^2

¡Hola! Nos encantaría ayudarte, pero no solemos responder dudas universitarias que no tengan que ver específicamente con los vídeos que David Calle ha grabado como excepción. O de otras asignaturas que no sean Matemáticas, Física y Química. Lo sentimos de corazón… Esperamos que lo entiendas.
Ojalá algún unicoo universitario se anime a ayudarte (de hecho, lo ideal es que todos los universitarios intentarais ayudaros los unos a los otros).
Buenas tardes.... Al hallar una adjunta de una matriz transpuesta de 4x4 a que elementos se le cambia el signo?... Ya que en la 3x3 se cambia los signos en rombo