Hola, me gustaría saber porqué motivo no existe un elevado al cuadrado dónde la flecha indica, que debería de proceder de la interrogación, a mi parecer...
Muchas gracias y un saludo.
Hola, necesito ayuda con estos problemas de progresiones.
Gracias de antemano.
1. Calcula los tres lados que forman un triángulo rectángulo, sabiendo que también forman una progresión aritmética.
2. La edad de cuatro hermanas forman una progresión aritmética. La edad de la mayor es la misma que la suma de las pequeñas. Calcula la edad de cada una sabiendo que la más joven tiene 4 años.
3. Calcula la suma de los siete términos de una progresión geométrica cuyo segundo término es el -2 y el quinto es 81.
4. Suma los veinte primeros términos de una progresión aritmética que sabemos que su último término es 15 y el antepenúltimo es 10.

1)
Puedes llamar: x a la longitud del cateto menor, x+d a la longitudo del cateto mayor, y x+2d a la longitud de la hipotenusa del triángulo rectángulo. Luego, a partir del Teorema de Pitágoras, tienes la ecuación:
x2 + (x+d)2 = (x+2d)2,
desarrollas los binomios elevados al cuadrado, y queda:
x2 + x2 + 2xd + d2 = x2 + 4dx + 4d2,
restas x2, restas 4xd y restas d2 en ambos miembros, reduces términos semejantes, y queda:
x2 - 2xd = 3d2,
sumas d2 en ambos miembros, y queda:
x2 - 2xd + d2 = 4d2,
factorizas el trinomio cuadrado perfecto en el primer miembro, y queda:
(x - d)2 = 4d2,
extraes raíz cuadrada en ambos miembros (observa que elegimos la raíz positiva), y queda:
x - d = 2d,
sumas d en ambos miembros, y queda:
x = 3d,
y observa que tienes la expresión de la longitud del cateto menor, en función de la diferencia de la progresión aritmética, luego, la longitud del otro cateto es:
x+d = 4d,
y la longitud de la hipotenusa es
x+2d = 5d.
Luego, puedes concluir que existen infinitos triángulos rectángulos, con las longitudes de sus lados expresadas con números naturales, por ejemplo:
para d = 1, tienes que las longitudes son: 3, 4 y 5;
para d = 2, tienes que las longitudes son: 6, 8 y 10;
para d = 3, tienes que las longitudes son: 9, 12 y 15;
y así sucesivamente.
Espero haberte ayudado.

2)
Tienes que consultar con tus docentes por este enunciado.
Puedes llamar a las edades de las hermanas, ordenadas de menor a mayor:
4, 4+d, 4+2d, 4+3d.
Luego, tienes las relaciones:
4 + 4+d + 4+2d = 4+3d, reduces términos semejantes en el primer miembro, y queda:
12 + 3d = 4 + 3d, restas 3d en ambos miembros, y queda:
12 = 4,
que es una Identidad Falsa, por lo que tienes que no existen cuatro números naturales que correspondan a las edades de los hermanos, con las condiciones que tienes en tu enunciado.
Espero haberte ayudado.

3)
Recuerda la expresión general de un elemento de una progresión geométrica (indicamos a su primer elemento con: a1, y a su razón con: r):
an = a1*rn-1, con n ∈ N y n ≥ 1.
Luego, tienes para el quinto elemento y para el segundo elemento:
a5 = a1*r4,
a2 = a1*r1,
divides miembro a miembro entre ambas ecuaciones (observa que tienes simplificaciones), y queda:
a5/a2 = r3,
reemplazas valores en el primer miembro, resuelves signos, y queda:
-81/2 = r3,
extraes raíz cúbica en ambos miembros, y queda:
-∛(81/2) = r,
que es el valor de la razón de la progresión geométrica;
luego, planteas nuevamente la expresión de su segundo elemento, y tienes:
a2 = a1*r1, reemplazas valores, y queda:
-2 = a1*( -∛(81/2) ), multiplicas en ambos miembros por -∛(2/81), y queda:
2*∛(2/81) = a1,
que es el valor del primer elemento de la progresión geométrica.
Luego, planteas el valor de la suma general de los elementos de una progresión geométrica, y tienes:
Sn = a1*(1-rn)/(1-r);
luego, tienes para la suma de los siete primeros elementos:
S7 = a1*(1-r7)/(1-r),
y solo queda que reemplaces valores y hagas el cálculo.
Observa que si en tu enunciado el segundo elemento es -3, entonces todos los cálculos serían mucho más sencillos.
Espero haberte ayudado.

4)
Recuerda la expresión del elemento general de una progresión aritmética:
an = a1 + (n-1)*d, con n ∈ N y n ≥ 1.
Luego, observa que n = 20 es el número de orden del último término, entonces tienes que n = 19 es el número de orden del penúltimo término, y que n = 18 es el número de orden del antepenúltimo término.
Luego, planteas las expresiones del último y del antepenúltimo término, y tienes:
a20 = a1 + 19*d,
a18 = a1 + 17*d;
luego, reemplazas valores, y queda:
15 = a1 + 19*d (1),
10 = a1 + 17*d;
luego, restas miembro a miembro entre ambas ecuaciones (observa que tienes cancelaciones), y queda:
5 = 2*d,
divides por 2 en ambos miembros, y queda:
5/2 = d,
que es el valor de la diferencia de la progresión aritmética;
luego, reemplazas este valor en la ecuación señalada (1), y queda:
15 = a1 + 95/2,
restas 95/2 y sumas 5/2 en ambos miembros, y queda:
-65/2 = a1,
que es el valor del primer elemento de la progresión aritmética.
Luego, planteas la expresión de la suma general de los elementos de esta progresión aritmética, y tienes:
SN = (a1+aN)*N/2,
sustituyes los valores del número de elementos, del primer elemento del último elemento, y queda:
S20 = (-65/2 + 15)*20/2,
reduces términos numéricos en el agrupamiento, y queda:
S20 = (-35/2)*10,
resuelves, y queda:
S20 = -175.
Espero haberte ayudado.
Buenos días.
¿Alguien sabe dónde están (si las hay) las soluciones de las actividades correspondientes a la unidad 1 de matrices del material adicional de Bachillerato?
Gracias.

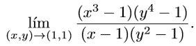
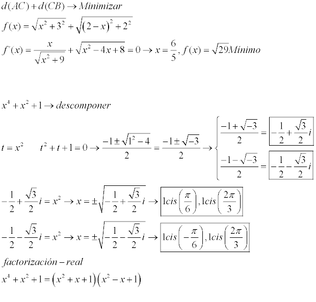
Observa que tienes la expresión:
t2 + t + 1 =
sumas 1/4 y restas 1/4, y queda:
= t2 + t + 1 +1/4 - 1/4 =
ordenas términos, y queda:
= t2 + t + 1/4 + 1 - 1/4 =
factorizas el trinomio cuadrado perfecto, y queda:
= (t+1/2)2 + 1 - 1/4 =
reduces los dos últimos términos numéricos, y queda:
= (t+1/2)2 + 3/4;
luego, observa que esta expresión toma valores estrictamente mayores que cero para cualquier valor t que pertenezca al conjunto de los números reales, ya que es la suma de un cuadrado más un términos positivo que no es igual a cero;
luego, puedes concluir que la expresión t2+t+1 toma valores mayores estrictamente mayores que cero y, por lo tanto, no puede ser igual a cero.
Espero haberte ayudado.
una pelota cae desde una altura de 20 metros y rebota ascendiendo cada vez hasta una cuarta parte del ascenso anterior. calcular la distancia total recorrida por la pelota cuando pega en el suelo por octava vez.

Puedes hacer una lista de las distancias parciales recorridas, y observa que la inicial (a0) es solo una caída, y todas las demás son ascenso y caída:
a0 = 20 m = 20*1 = 20*(1/2)0,
a1 = 20*1/4 + 20*1/4 = 20*1/2 = 10 m = 20*(1/2)1,
a2 = 10*1/4 + 10*1/4 = 10*1/2 = 5 m = 20*1/4 = 20*(1/2)2,
a3 = 5*1/4 + 5*1/4 = 5*1/2 = 2,5 m = 20*1/8 = 20*(1/2)3,
a4 = 2,5*1/4 + 2,5*1/4 = 2,5*1/2 = 1,25 m = 20*1/16 = 20*(1/2)4,
luego puedes inferir que para el k-ésimo trayecto de ascenso y caída queda:
ak = 20*(1/2)k, con k ∈ N.
Luego, planteas la suma de todas las distancias parciales recorridas, y queda:
d = ∑(k=0,∞) ak,
sustituyes la expresión correspondiente al término general, y queda:
d = ∑(k=0,∞) 20*(1/2)k,
extraes el factor constante, y qeuda:
d = 20 * ∑(k=0,∞) (1/2)k,
observa que el segundo factor es una suma geométrica infinita cuya razón es 1/2 (observa que el valor absoluto de la razón es estrictamente menor que 1), por lo que tienes que la expresión tiende al valor:
d = 20 * ( 1 / (1-1/2) ), resuelves el segundo factor, y queda:
d = 20*2 = 40 m.
Espero haberte ayudado.