
El dominio de esta función es el conjunto de los números reales.
Observa que la primera rama de la expresión corresponde a los números reales estrictamente menores que -3, que la tercera rama corresponde a los estrictamente mayores que 3, y que la segunda rama corresponde a los números reales comprendidos entre -3 y 3, y que también corresponde a -3 y a 3.
Espero haberte ayudado.
http://www.juntadeandalucia.es/averroes/centros-tic/04004620/moodle2/pluginfile.php/4197/mod_resource/content/1/EXAMEN%20DE%20RECUPERACI%C3%93N%20final.pdf porfa alguie me puede resorveer este examen lo necesito para mañana es muy urgente porfavor
unicoos tengo una duda
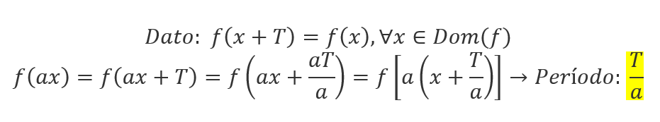
2. ∀n ∈ N, se cumple que: 6+20+34+...+2(7n-4) = n(7n-1).
entonces yo evaluó para n= 1
2(7(1)-4)= (1)(7(1)-1)
2(3)= (1)(6)
6=6
pero aqui viene mi duda cuando lo hago para n=2 no se cumple porque???
2(7(2)-4)= (2)(7(2)-1)
20=26
y yo al desarrollarlo normal para n=1 despues n=k, n=k+1 llego a la conclusion de q si se cumple mi tesis pero la pregunta es esa porque no se cumple si no solo para n=1
Me podriais ayudar a encontrar el dominio, el recorrido y la continuidad de : f(x): 2x -1 si -4<x<-2
1+3x si -2≤x≤1
x2 si 1<x≤5

Dom f(x)= (-4,5]
Hallaré la imagen de 2x-1, para x=-4 y x=-2:
La imagen que produce 2x-1 en x=-4, es -9. Y para x=-2, es -5, por tanto, de momento tenemos que el recorrido es (-9,-5).
Con respecto al segundo miembro de f(x), hallaremos la imagen que este produce, para x=-2 y x=1
Para x=-2 → y=-5 , Para x=1 → y=4; Por tanto, uniendo ambos resultados, de momento tenemos que el recorrido es (-9,4]
Finalmente, con respecto al último miembro, hallare la imagen que este produce para x=5:
x=5 → y=25.
Concluyendo, el recorrido de f(x) es (-9,25].
En sí mismo, los miembros que conforman f(x), son continuos en R. Por tanto, nos queda estudiar los puntos en los que se pasa de representar una función a otra:
Empezamos con x=-2 → Hallamos los límites laterales, y los comparamos:
lim x→-2+f(x) = lim x→-2+(3x+1) = -5
lim x→-2-f(x) = lim x→-2-(2x-1) = -5
∴∃ lim x→-2 f(x)... Finalmente, nos queda comprobar que este límite, es igual a la imagen que produce la función en ese punto:
f(-2)=-5=lim x→-2 f(x) → Por tanto f(x) es continua en x=-2
Seguimos con x=1
lim x→1+f(x) = lim x→1+ x^2 = 1
lim x→1-f(x) = lim x→1- (3x+1)= 4
∴ No existe lim x→1 f(x) → f(x) no es continua en x=1
Acabamos con x=5
lim x→ 5f(x) = 25
f(5)= 25 → f(x) es continua en x=5
Aquí te dejo una gráfica para que te ubiques mejor: ![]()
ESPERO QUE TE HAYA AYUDADO
Alguien me sabria decir como se hace el dominio de: e^x / ln(x-2)??

Observa que en el numerador tienes una expresión exponencial, que está definida para todos los números reales.
Luego, observa que el argumento del logaritmo debe ser estrictamente mayor que cero, y que el denominador debe ser distinto de cero, por lo que tienes que se deben cumplir dos condiciones:
1°)
x - 2 > 0, aquí sumas 2 en ambos miembros, y queda:
x > 2;
2°)
ln(x-2) ≠ 0, compones en ambos miembros con la función inversa del logaritmo natural, y queda:
x - 2 ≠ e0, resuelves el segundo miembro, sumas 2 en ambos miembro, y queda:
x ≠ 3.
Luego, tienes que el dominio de la función expresado como intervalo queda:
D = (2,3) ∪ (3,+∞).
Espero haberte ayudado.
Hola Unicoos, por favor me podrian recomendar un libro o pagina de analisis numericos con matlab?

¡Hola! Nos encantaría ayudarte, pero no solemos responder dudas universitarias que no tengan que ver específicamente con los vídeos que David Calle ha grabado como excepción. O de otras asignaturas que no sean Matemáticas, Física y Química. Lo sentimos de corazón… Esperamos que lo entiendas.
Ojalá algún unicoo universitario se anime a ayudarte (de hecho, lo ideal es que todos los universitarios intentarais ayudaros los unos a los otros).