Buenas tardes! Me podrías ayudar con esta integral que tengo que hacer por cambio de variable. He intentado hacerla y no se como acabarla...
Integral= (x2 + 2)/(√(x3+6x) dx
Gracias de antemano!!
Hola buenas tardes, me gustaria saber como hacer un ejercicio, lo que me piden es sacar las asintotas y los intervalos tanto de crecimiento y decrecimiento, se como sacar todo, lo unico es que no entiendo como hacer para sacar el dominio de la funcion, y de esta manera poder ver si tiene asintotas verticales,tambien piden hacer un esbozo de la funcion, este es el ejercicio:

Hola, estoy en 4 de la eso, pero creo que he deducido esto. si el numerador lo divides entre 0 te dará infinito y ese punto no estará en la función. Por lo tanto para que el denominador sea 0, e*x = 1 y para ello x= 0. Entonces te quedará una indeterminación de 0/0 que en mi nivel no lo he estudiado. Creo que por ahí está la clave del ejercicio
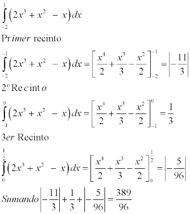
Buenas de nuevo a todos!
Queria saber si es correcto el procedimiento que he usado para resolver la siguiente integral:
Gracias de antemano!

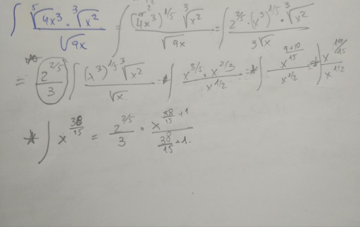
Planteas la expresión del argumento de la integral (observa que expresamos a las raíces como potencias con exponentes fraccionarios), y queda:
(22*x3)1/5 * (x2)1/3 / (32*x)1/2 =
expresas al denominador como un factor, y queda:
= (22*x3)1/5 * (x2)1/3 * (32*x)-1/2 =
resuelves los factores, y queda:
= 22/5*x3/5 * x2/3 * 3-1*x-1/2 =
ordenas factores, aplicas la propiedad de la multiplicación de potencias con bases iguales, y queda:
= 22/5*3-1 * x3/5+2/3-1/2 =
= 22/5*3-1 * x23/30 =
= 22/5/3 * x23/30.
Luego, sustituyes la expresión del argumento, y la integral queda:
I =
= ∫ 22/5/3 * x23/30 * dx =
= 22/5/3 * ∫ x23/30 * dx =
= 22/5/3 * (30/53) * x53/30 + C =
= ( 22/5*30 / 3*53) * x53/30 + C =
= ( 22/5*2*3*5 / 3*53) * x53/30 + C =
= ( 27/5*5 / 53 ) * x53/30 + C.
Espero haberte ayudado.
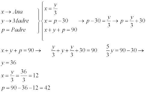
Buenos días,
Tengo este problema que no lo se resolver y me parece interesante saber resolverlo:
La edad de Ana es la tercera parte de la de su madre y 30 años menos que la de su padre. Si entre los tres suman 90 años, ¿qué edad tiene cada uno?