Hola, estoy comenzando a ver funciones y he notado que usualmente se expresan de la forma f(x)=x (operado con algo), como expresando el valor salida en terminos de el valor entrada. se puede hacer lo mismo con las funciones trigonometricas? , en otras palabras. Cuales son las reglas de asociacion de las funciones trigonometricas en terminos de x?
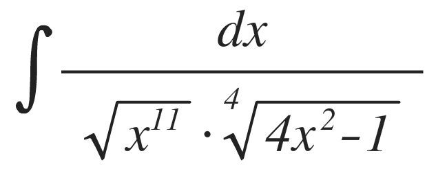
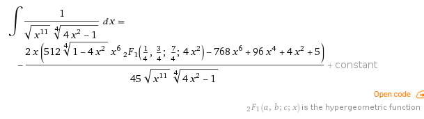
Hola buenas tardes me pueden ayudar con esta integral, he tratado de hacerlo por Chebysehv pero no cumple ninguno de los casos. De antemano muchas gracias.

Tienes la inecuación:
(x2 + 4) / (x2 + 3x) ≤ 0.
Luego, observa que en el numerador del primer miembro tienes una expresión que toma valores estrictamente positivos, ya que es la suma de dos términos positivos y, por lo tanto, tienes como única opción que la expresión del denominador sea estrictamente negativa (observa que no puede tomar el valor cero), por lo que puedes plantear:
x2 + 3x < 0.
Luego, has determinado bien las raíces de la expresión del primer miembro, y tienes tres intervalos en los cuáles debes estudiar sus signos por separado, por medio de la evaluación de la expresión: f(x) = x2 + 3x para valores testigos:
a)
Ia = (-∞,-3),
puedes elegir el valor testigo: x = -4, y la expresión toma el valor: f(-4) = (-4)2 + 3(-4) = 16 - 12 = 4 > 0,
por lo que tienes que la expresión toma valores positivos en este intervalo;
b)
Ib = (-3,0),
puedes elegir el valor testigo: x = -1, y la expresión toma el valor: f(-1) = (-1)2 + 3(-1) = 1 - 3 = -2 < 0,
por lo que tienes que la expresión toma valores negativos en este intervalo;
c)
Ia = (0,+∞),
puedes elegir el valor testigo: x = 1, y la expresión toma el valor: f(1) = (1)2 + 3(1) = 1 + 3 = 4 > 0,
por lo que tienes que la expresión toma valores positivos en este intervalo.
Luego, tienes que el conjunto solución es el segundo intervalo:
S = (-3,0).
Espero haberte ayudado.
ALGUIEN PODRÍA AYUDARME CON ESTE PROBLEMA? NO SE CÓMO PLANTEARLO
En un triángulo ABC, rectángulo en A, conocemos el cateto c= 10cm y la altura relativa a la hipotenusa, h= 6cm . Halla los lados y los ángulos desconocidos.

Observa la figura, y verás que la altura correspondiente a la hipotenusa divide al triángulo rectángulo en dos triángulos menores, que también son rectángulos.
Luego, planteas la ecuación pitagórica en el triángulo sombreado con amarillo, y queda:
62 + x2 = 102,
y de aquí puedes despejar (te dejo la tarea):
x = 8 cm,
que es la longitud de la proyección del cateto c sobre la hipotenusa a.
Luego, recuerda que en un triángulo rectángulo la longitud de la altura correspondiente a la hipotenusa es medio proporcional entre las correspondientes proyecciones de los catetos, por lo que puedes plantear:
y/h = h/x,
aquí multiplicas por h en ambos miembros, y queda:
y = h2/x,
aquí reemplazas valores, resuelves, y queda:
y = 4,5 cm,
que es la longitud de la proyección del cateto b sobre la hipotenusa a.
Luego, observa que la longitud de la hipotenusa es igual a la suma de las longitudes de las proyecciones de los catetos sobre ella, por lo que puedes plantear la ecuación:
a = x + y,
aquí remplazas valores, resuelves, y queda:
a = 12,5 cm.
Luego, planteas la ecuación pitagórica en el triángulo mayor, y queda:
b2 + 102 = 12,52,
y de aquí puedes despejar (te dejo la tarea):
b = 7,5 cm,
que es la longitud del cateto b.
Luego, puedes plantear para los ángulos interiores agudos del triángulo mayor:
sen(B) = b/a = 0,6,
aquí compones con la función inversa del seno (observa que debes utilizar tu calculadora), y queda el valor aproximado:
B ≅ 36,87°;
luego, recuerda que los ángulos agudos interiores de un triángulo rectángulo son complementarios, por lo que puedes plantear:
C ≅ 90° - B,
aquí reemplazas, resuelves, y queda:
C ≅ 53,13°.
Espero haberte ayudado.
¿ Cuáles son las demás razones trigonométricas si la tanβ = 3 ?

Vamos con una orientación.
Recuerda las identidades trigonométricas del seno y del coseno en función de la tangente:
cosβ = ±1/√(1+tan2β),
que es positiva si el ángulo β pertenece al primero o al cuarto cuadrante, y es negativa si pertenece al segundo o al tercer cuadrante;
senβ = ±tanβ/√(1+tan2β),
que es positiva si el ángulo β pertenece al primero o al segundo cuadrante, y es negativa si pertenece al tercero o al cuarto cuadrante.
Luego, recuerda también que la tangente es positiva en el primero (0° a 90°) y en el tercer cuadrante (180° a 270°), y que es negativa en el segundo y en el cuarto cuadrante (recuerda también que la tangente no está definida para 90° y 270°), por lo tanto tienes dos opciones:
a)
cosβ = +1/√(1+32) = +1/√(10),
senβ = +3/√(1+32) = +3/√(10),
en el primer cuadrante;
b)
cosβ = -1/√(1+32) = -1/√(10),
senβ = -3/√(1+32) = -3/√(10),
en el tercer cuadrante.
Espero haberte ayudado.
Las demás razones trigonométricas de β si el cosβ = (√5)/3 son senβ = 2/3 y tanβ = [ (2x √5)/5 ] ?
Continuamos con las dudas trigonométricas, lamento ser tan pesada con este tipo de problemas pero es que no tengo el solucionario del libro y no se si lo que estoy haciendo está bien, ahí va el problema y lo que a mi me dio:
Sabiendo que el ángulo β está en el tercer cuadrante y el cosβ = -0.83 , calcula la tanβ y el senβ
A mi me dio que el seno sería -0.91 (negativo porque está en el tercer cuadrante) y la tangente sería 1.1 . Es correcto?

Puedes aplicar la identidad del seno como función del coseno, y queda:
senβ = ±√(1-cos2β), cuyo signo es negativo para el tercer cuadrante;
luego, reemplazas valores, y queda:
senβ = -√( 1-(-0,83)2 ) = -√( 1-0,6889) = -√(0,3111) ≅ -0,58.
Luego, puedes aplicar la identidad de la tangente como función del seno y del coseno, y queda:
tanβ = senβ/cosβ, cuyo signo es positivo para el tercer cuadrante;
luego, reemplazas valores, y queda:
tanβ = -√( 1-(-0,83)2 )/(-0,83) = -√( 1-0,6889)/(-0,83) = +√(0,3111)/0,83 ≅ +0,67.
Espero haberte ayudado.