Buenas, tengo una pregunta de Cálculo de la Universidad. Se trata de continuidad y derivabilidad de funciones de varias variables.
La pregunta dice lo siguiente:
"Demostrar si es verdadera o falsa la siguiente afirmación: Si f:R->R es impar y derivable, entonces f' es impar"
Yo he razonado que es falsa dando ejemplos como los de la primera imagen adjunta:![]()
Sin embargo, en los ejercicios resueltos de mi academia tengo esta respuesta al problema:![]()
Entonces mi duda es: ¿qué respuesta es la correcta? Porque comprendo que el razonamiento mi academia es correcto, pero entonces ¿cómo es que puedo encontrar ejemplos que niegan esa afirmación?
Espero que se me pueda responder lo antes posible, ya que me urge bastante.
Un saludo y gracias por la ayuda.
Hola buenas!
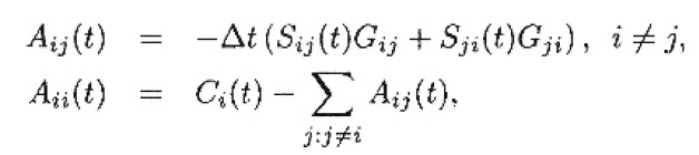
¿Alguien me podría explicar qué significa esto debajo de un sumatorio?
j:j≠i
Adjunto foto.
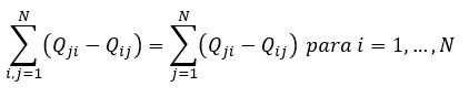
Y ya que estamos, ¿me podría alguien confirmar si esto es cierto?
Muchas gracias y saludos.
Hola necesito que alguien por favor me explique como hacer el siguiente ejercicio:
La media de los pesos de 500 estudiantes de un colegio es 70 kg y la desviación típica es 3 kg. Suponiendo que los pesos se distribuyen normalmente, hallar cuantos estudiantes pesan:
a)Entre 60 y 65 kg
b)Más de 90kg
c)Menos de 64kg
d)64kg
e)64kg o menos
Si me pueden hacer un paso a paso mejor porque me cuesta bastante entender este tema en particular. Muchas gracias.

¡Hola! Nos encantaría ayudarte, pero no solemos responder dudas universitarias que no tengan que ver específicamente con los vídeos que David Calle ha grabado como excepción. O de otras asignaturas que no sean Matemáticas, Física y Química. Lo sentimos de corazón… Esperamos que lo entiendas.
Ojalá algún unicoo universitario se anime a ayudarte (de hecho, lo ideal es que todos los universitarios intentarais ayudaros los unos a los otros).
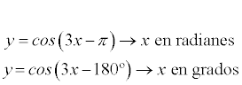
Disculpad mi ignorancia, pero no entiendo cuando usar los diferentes modos de una calculadora.
Estoy viendo el vídeo de "Representación de una función coseno" en el que la función es Y=Cos(3x-π) y David dice que hay que operar en radianes y que π es 180º.
Si pongo mi calculadora en radianes y pongo π el resultado es 3.14... Entonces ¿de donde sale el 180º? ¿Cuando uso el modo Rad, Deg, Gra?
SALUDOS y gracias por vuestro tiempo.
El modo Rad, Deg y Gra de la calculadora sólo funciona en las funciones trigonométricas. Lo que significa que sólo afectará cuando pongas sin(x), cos(x), tan(x).
- Si estas trabajando en Rad, la x debe de estar en radianes.
- Si estas trabajando en Deg, la x debe de estar en grados.
- Si estas trabajando en Gra, la x debe de estar en gradianes.
Si pones pi en la calculadora, te dará 3.14 igualmente si estas en Rad, Deg y Gra porque sólo afecta a las funciones trigonométricas. Tienes que saber que pi rad = 180º, y a partir de aquí, puedes convertir todas las medidas en rad, en grados o al revés.
Saludos.