Para conseguir un tono rosa mezclamos 5kg de pintura roja y 2kg de blanca
a)Expresa en forma de razón la relación que hay entre los kg de pintura roja hay por cada kg de pintura blanca
b)Expresa en forma de razón la relación que hay entre los kg de pintura blanca hay por cada kg de pintura roja
Hola alguien podría ayudarme con está duda que me surgió en un rato de ocio, a pesar de que le doy vueltas no he encontrado una manera de calcular el área sombreada.![]()
Siguiendo el modelo gráfico propuesto por César, lo que puedes hacer es encontrar el área de los 4 triángulos rectángulo que se hallan dentro del área sombreada, cada uno tiene una hipotenusa que mide 2 cm (radio de la circunferencia) y su base o cateto que es 1 cm (mitad del radio de la circunferencia). Aplicas el teorema de Pitágoras para encontrar el cateto faltante o la altura del triángulo, lo que resulta: √3
Ahora tienes 4 triángulos en los que su base es 1 cm y su altura √3
Por lo que el resultado final será: 2√3 cm2
Alguien que me ayude!!!!!!!! Sean las rectas L1:y=kx-2x+1 y L2:y=kx+7; con k número real. Determine, si existe, el valor k tal que:
a) L1 y L2 sean paralelas
b) L1 y L2 sean perpendiculares
Hola, hace un tiempo pregunté si me podrían ayudar con este ejercicio:
Y no entendí en la solución que Antonio me dio el significado de la última sumatoria que señalo en rojo:
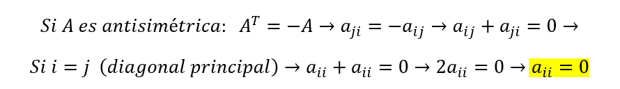
Tampoco entendí la solución teórica de las dos últimas preguntas del ejercicio que aparecen en el último párrafo (el de "Demuestra que si A es antisimétrica...)
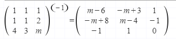
en la siguiente matriz, me pide que calcule los valores para que exista la matriz inversa. Pero la letra M desaparece
1 1 1
1 1 2
4 3 M

Observa que tienes una matriz cuadrada.
Luego, planteas su determinante (lo desarrollamos según su tercera fila), y queda:
D = 4(2-1) - 3(2-1) + M(1-1) = 4(1) - 3(1) + M(0) = 4 - 3 + 0 = 1 ≠ 0.
por lo que tienes que el determinante es distinto de cero para todo valor de M,
por lo que puedes concluir que la matriz admite inversa para todo M perteneciente a los números reales.
Espero haberte ayudado.