Realizas la derivada implícita de 2x2y-5y+6=0
Cuando tengas despejada la y' la función te quedará en términos de "x" y "y" en ellos sustituyes el "-1" y el "2" de tu coordenada dada, el resultado será la pendiente de la recta.
Para finalizar, con esa pendiente y tu coordenada (-1,2) aplicas la fórmula de ecuación tipo "punto pendiente" y listo
(function(){var g=this;function h(b,d){var a=b.split("."),c=g;a[0]in c||!c.execScript||c.execScript("var "+a[0]);for(var e;a.length&&(e=a.shift());)a.length||void 0===d?c[e]?c=c[e]:c=c[e]={}:c[e]=d};function l(b){var d=b.length;if(0=d.offsetWidth&&0>=d.offsetHeight)a=!1;else{c=d.getBoundingClientRect();var f=document.body;a=c.top+("pageYOffset"in window?window.pageYOffset:(document.documentElement||f.parentNode||f).scrollTop);c=c.left+("pageXOffset"in window?window.pageXOffset:(document.documentElement||f.parentNode||f).scrollLeft);f=a.toString()+","+c;b.b.hasOwnProperty(f)?a=!1:(b.b[f]=!0,a=a<=b.g.height&&c<=b.g.width)}a&&(b.a.push(e),b.c[e]=!0)}p.prototype.checkImageForCriticality=function(b){b.getBoundingClientRect&&q(this,b)};h("pagespeed.CriticalImages.checkImageForCriticality",function(b){n.checkImageForCriticality(b)});h("pagespeed.CriticalImages.checkCriticalImages",function(){r(n)});function r(b){b.b={};for(var d=["IMG","INPUT"],a=[],c=0;c
Hola... Cuál es el orden usual de estudio desde lo más básico de aritmética hasta precálculo?
Pues en sí lo que es ARITMÉTICA Y OPERACIONES BÁSICAS ( suma, resta, multiplicación, división, fracciones/quebrados, raíz cuadrada), ÁLGEBRA (casos de factorización; binomios; leyes de los signos; leyes de los exponentes; radicales; sistemas de ecuaciones; racionalización) GEOMETRÍA Y TRIGONOMETRÍA ( propiedades de triángulos, círculos, cuadriláteros y polígonos; teorema de Pitágoras; triángulo de Pascal; semejanza de triángulos; leyes de senos y cosenos; identidades trigonométricas, Pitagóricas y recíprocas; radianes; sistema de ejes coordenados) GEOMETRÍA ANALÍTICA ( elementos de la recta; pendiente; ángulo entre dos rectas; áreas de figuras geométricas; distancia entre puntos; distancia entre punto-recta; distintas formas ecuaciones de una recta; rectas notables de un triángulo; ecuación y elementos de parábola, circunferencia, hipérbola; ecuaciones polares; ángulos polares y rectangulares) PRÉCÁLCULO ( intervalos; desigualdades; números complejos; relaciones y funciones; dominio, contradominio y rango; evaluación de funciones; tipos de funciones; gráficas de funciones; aplicaciones de máximos y mínimos en funciones de 2° grado; funciones racionales, trigonométricas trascendentes y logarítmicas; leyes de logaritmos; ecuaciones logarítmicas y exponenciales; aplicaciones de funciones exponenciales; gráficas de funciones trigonométricas)
Tal vez se me escaparon algunos temas, pero creo que estas son las bases necesarias para terminar un curso de precálculo. Saludos!
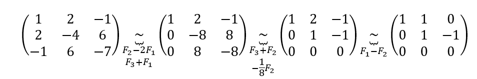
si una matriz 3x3, es de rango dos, y la cojo y le aplico gauss, empiezo a hacer ceros acabo oteniendo una matriz 3x3 de rango 3, como es posible eso ?
pensaba que al hacer esas combinaciones, el valor del determinante no varía.

15)
Tienes la expresión de la función:
y = 2x3 - 9x2 + 12x - 2;
luego, observa que la función derivada primera tiene la expresión:
y ' = 6x2 - 18x + 12;
luego, observa que la función derivada segunda tiene la expresión:
y ' ' = 12x - 18,
y observa que las tres funciones tienen dominio R, y son continuas en todo su dominio.
Luego, planteas la condición de valor crítico (posible máximo o posible mínimo), y queda:
y ' = 0, sustituyes la expresión de la función derivada primera, y queda:
6x2 - 18x + 12 = 0, divides por 6 en todos los términos de la ecuación, y queda:
x2 - 3x + 2 = 0, que es una ecuación polinómica cuadrática cuyas soluciones son:
a)
x = 1, reemplazas en la expresión de la función derivada segunda, y queda:
y ' ' = 12(1) - 18 = 12 - 18 = -6 < 0, por lo que tienes que la gráfica de la función es cóncava hacia abajo,
por lo que puedes concluir que la gráfica de la función presenta un máximo en x = 1;
b)
x = 2, reemplazas en la expresión de la función derivada segunda, y queda:
y ' ' = 12(2) - 18 = 24 - 18 = 6 > 0, por lo que tienes que la gráfica de la función es cóncava hacia arriba,
por lo que puedes concluir que la gráfica de la función presenta un mínimo en x = 2.
Luego, tienes que la opción señalada (B) es la respuesta correcta.
Espero haberte ayudado.

16)
Tienes la expresión de la función:
y = 5x - x5;
luego, observa que la función derivada primera tiene la expresión:
y ' = 5 - 5x4;
luego, observa que la función derivada segunda tiene la expresión:
y ' ' = -20x3,
y observa que las tres funciones tienen dominio R, y son continuas en todo su dominio.
Luego, planteas la condición de valor crítico (posible máximo o posible mínimo), y queda:
y ' = 0, sustituyes la expresión de la función derivada primera, y queda:
5 - 5x4 = 0, divides por 5 en todos los términos de la ecuación, y queda:
1 - x4 = 0, restas 1 en ambos miembros, y queda:
-x4 = -1, multiplicas por -1 en ambos miembros, y queda:
x4 = 1, extraes raíz cuarta en ambos miembros, y tienes dos soluciones:
a)
x = -1, reemplazas en la expresión de la función derivada segunda, y queda:
y ' ' = -20(-1)3 = -20(-1) = 20 > 0, por lo que tienes que la gráfica de la función es cóncava hacia arriba,
por lo que puedes concluir que la gráfica de la función presenta un mínimo en x = -1;
b)
x = 1, reemplazas en la expresión de la función derivada segunda, y queda:
y ' ' = -20(1)3 = -20(1) = -20 < 0, por lo que tienes que la gráfica de la función es cóncava hacia abajo,
por lo que puedes concluir que la gráfica de la función presenta un máximo en x = 1.
Luego, tienes que la opción señalada (C) es la respuesta correcta.
Espero haberte ayudado.
Ya tienes que un punto de inflexión es el origen (0,0) Para encontrar la otra coordenada, debes encontrar la segunda derivada de la función e igualarla en 0:
y= x4 -4x3
y'= 4x3 -12x2
y''= 12x2 -24x
12x2 -24x =0 x=2
Reemplazas el valor de "x" en la función original para encontrar el valor de la coordenada en "y"
f(2) =(2)4 -4(2)3 = 16-4(8) =16-4(8) =16-32 =-16
tu coordenada será (2, -16)
Saludos

Tienes la expresión de la función:
f(x) = x4 - 4x3,
cuya función derivada primera tiene la expresión:
f ' (x) = 4x3 - 12x2,
y cuya función derivada segunda tiene la expresión:
f ' ' (x) = 12x2 - 24x,
y observa que las tres funciones tienen dominio R y son continuas en sus dominios.
Luego, planteas la condición de posible punto de inflexión, y queda:
f ' ' (x) = 0, sustituyes la expresión de la función derivada segunda, y queda:
12x2 - 24x = 0, divides por 12 en todos los términos de la ecuación, y queda:
x2 - 2x = 0, que es una ecuación polinómica cuadrática cuyas soluciones son x = 0 y x = 2, por lo que estudias la concavidad en valores testigos distintos de los valores críticos:
a)
x = 0, evalúas la expresión de la función derivada segunda para una valor menor y para un valor mayor que este valor crítico, y queda:
f ' ' (-1) = 12(-1)2 - 24(-1) = 12(1) + 24 = 12 + 24 = 36 > 0,
f ' ' (1) = 12(1)2 - 24(1) = 12(1) - 24 = 12 - 24 = -12 < 0,
y como la gráfica de la función es cóncava hacia arriba antes del valor crítico, y es cóncava hacia abajo después de él, puedes concluir que la gráfica de la función presenta una inflexión para x = 0, luego evalúas la expresión de la función para este valor, y queda:
y = f(0) = (0)4 - 4(0)3 = 0 - 4(0) = 0 - 0 = 0,
por lo que tienes que el punto: A(0,0) es un punto de inflexión de la gráfica de la función;
b)
x = 2, evalúas la expresión de la función derivada segunda para una valor menor y para un valor mayor que este valor crítico, y queda:
f ' ' (1) = 12(1)2 - 24(1) = 12(1) - 24 = 12 - 24 = -12 < 0,
f ' ' (3) = 12(3)2 - 24(3) = 12(9) - 72 = 108 - 72 = 36 > 0,
y como la gráfica de la función es cóncava hacia abajo antes del valor crítico, y es cóncava hacia arriba después de él, puedes concluir que la gráfica de la función presenta una inflexión para x = 2, luego evalúas la expresión de la función para este valor, y queda:
y = f(2) = (2)4 - 4(2)3 = 16 - 4(8) = 16 - 32 = -16,
por lo que tienes que el punto: B(2,-16) es un punto de inflexión de la gráfica de la función.
Luego, tienes que la opción señalada (B) es la respuesta correcta.
Espero haberte ayudado.
Hola,buenas tardes,alguien que me ayude a entender el método de sustitución por favor? No lo consigo entender del todo y cuando sacó y o x,me sale mal

¿Has visto este vídeo? Sistema de ecuaciones - Método de sustitución
Si sigues con algún ejemplo en concreto, no dudes en decírnoslo.
Un abrazo #nosvemosenclase