Buenas! Quisieran que me ayuden con una duda que tengo respecto a una característica de la cal. En los libros dice que la cal necesita de CO2 para endurecer, mi duda es la siguiente, hay lugares, por ejemplos de climas cálidos o fríos, donde la presencia de CO2 disminuye provocando que la cal no endurezca? o el CO2 está presente en todos lados por lo tanto, la cal puede endurecer en todos lados? Disculpen mi ignorancia, y les agradezco su ayuda. Saludos!

Hola Pablo,
en el endurecimiento de la cal entran en juego dos factores, la presencia de CO2 para formar carbonato de calcio, y luego la presencia de humedad, que favorecería el fraguado y por lo tanto, el endurecimiento.
El CO2 está presente en prácticamente cualquier ambiente en mayor o menor medida. Sin embargo la humedad es muy variable, incluso en el mismo sitio geográfico.
un defecto de humedad impediría que frague, y un exceso, impediría que secase a posteriori, por lo tanto, depende de varios factores.
Espero haber aclarado tu duda,
un saludo,
Breaking Vlad

Te sugiero este video..
Equilibrio quimico y PH
A partir de ahí, se trata de que DESPUES DE IR
A CLASE (ver los vídeos relacionados con vuestras dudas) enviéis dudas
concretas, muy concretas. Y que nos enviéis también todo aquello que hayais
conseguido hacer por vosotros mismos. Paso a paso, esté bien o mal. No solo el
enunciado. De esa manera podremos saber vuestro nivel, en que podemos ayudaros,
cuales son vuestros fallos.... Y el trabajo duro será el vuestro. Nos cuentas
¿ok? #nosvemosenclase ;-)
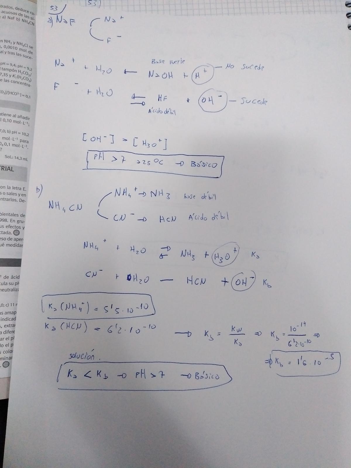
alguien me podria explicar sobre sales en general?, el video que hay de sales se queda corto, no se si es todo lo que tengo que saber o si hay mas sobre el tema

Sal soluble NaNO2---------Na+ +NO2-
Hidrolisis NO2- +H2O-------------HNO2 +OH- pH= 8,5 pOH=5,5 x= [OH-]=3,16x10^-6 M
c --- ---
- x +x +x Kh=Kw/Ka=1x10^-14/ 5,6x10^-4= 1,78x10^-11
equilibrio c-x x x
1,78x10^-11=x²/(c-x) c mucho mayor que x c=(3,16x10^-6)² / 1,78x10^-11= 0,56 M

C+O2--------CO2
ΔHcombustión =ΣΔH productos -ΣΔHreactivos =ΔHf CO2-ΔHf C-ΔHf O2= -393-0-0=-393 Kj
12g-----393 Kj
x---------1000 Kj x=34gramos
CH4+2 O2---------CO2+2H2O
ΔHcombustión =ΣΔH productos -ΣΔHreactivos =ΔHf CO2+2ΔHf H2O-ΔHf CH4-2ΔHf O2= -393+2(-286)+75=-890 Kj
16g--------890Kj
x-----------1000K x=18g
Con la otra igual
Para el apartado b) calculas los gramos de Co2 por cada Kj , usando el mismo proceso