1 De los siguientes compuestos carbonílicos, ¿Cuál es más susceptible al ataque nucleofílico? Seleccione la casilla correspondiente.
1.2 Determine el orden de reactividad de los siguientes compuestos en una reacción de sustitución electrófila aromática. (1 será el más reactivo). Escriba el número en el recuadro.
1.3 Teniendo en cuenta las propiedades de ácidez del fenol. Determine el orden de acidez de los siguientes compuestos fenólicos sustituidos. (1 será el más ácido). Escriba el número en el recuadRO

Hola! Me encantaría ayudarte, pero no respondo dudas universitarias que no tengan que ver específicamente con los videos que ya he grabado como excepcion. O de otras asignaturas que no sean matemáticas, física y química. Lo siento de corazón… Espero lo entiendas
Ojalá algun unicoo universitario se anime a ayudarte (de hecho lo ideal es que todos los universitarios intentarais ayudaros los unos a los otros)
hola gracias por los anteriores pnts, por favor ahora con est
(solo es 1 tabla la otra es copia
1.1 El tipo de reacción de acuerdo con el grupo funcional que interviene en la reacción; deben identificar las 12 reacciones. Como ejemplo se presenta la número 2 (ver tabla 2 del Anexo 4).
anexo
Tabla 2. Desarrollo del numeral 3.2
Nombre de la reacción
1
2. Nitración del benceno
3
4
5
6
7
8
9
10
11
12

Hola! Me encantaría ayudarte, pero no respondo dudas universitarias que no tengan que ver específicamente con los videos que ya he grabado como excepcion. O de otras asignaturas que no sean matemáticas, física y química. Lo siento de corazón… Espero lo entiendas
Ojalá algun unicoo universitario se anime a ayudarte (de hecho lo ideal es que todos los universitarios intentarais ayudaros los unos a los otros)
holaa, nos puedes resolver una duda muy urgente, mañana tenemos examen... ahi va el problema: en 40g de agua se disuelven 5g de sulfuro de hidrogeno. La densidad de la disolucion resultante es 0,8g/cm3, calcule la composicion de la disolucion expresando el resultado como % en masa, molalidad, concentracion, y fraccion masica. MUCHAS GRACIAS.

Te sugiero este video..
Estequiometria 02
A partir de ahí, se trata de que DESPUES DE IR
A CLASE (ver los vídeos relacionados con vuestras dudas) enviéis dudas
concretas, muy concretas. Y que nos enviéis también todo aquello que hayais
conseguido hacer por vosotros mismos. Paso a paso, esté bien o mal. No solo el
enunciado. De esa manera podremos saber vuestro nivel, en que podemos ayudaros,
cuales son vuestros fallos.... Y el trabajo duro será el vuestro. Nos cuentas
¿ok? #nosvemosenclase ;-)
Buenas noches
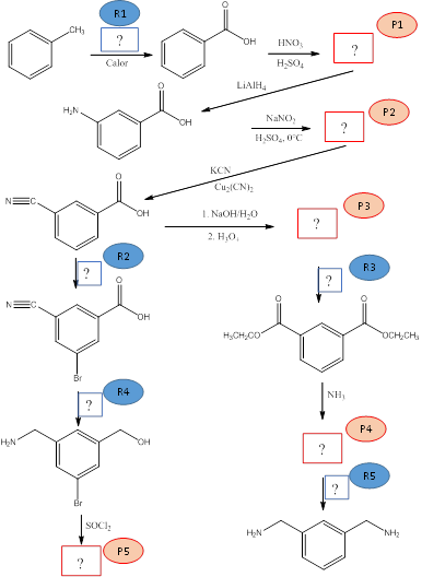
unicos quisiera que me expliquen en un video esto Escriba la estructura del producto de la siguiente reacción:vvv
Identifique y escriba los reactivos necesarios para que se lleve a cabo la siguiente reacción:
nO entiendo esto no se como sacar el producto
Por faor lo necesito rapido
A ver si podéis ayudarme con este ejercicio, no me da el resultado b).
Una muestra de 20 g de una aliage que contiene un 70% de zinc se trata con una cantidad suficiente de una disolución de ácido sulfúrico de riqueza 92,1% en masa de densidad 1,82 g/mL. Como resultado de la reacción se produce sulfato de de zinc e hidrógeno. Calcula:
a)Los gramos de sulfato de zinc obtenidos. Que a mi me han dado 34,57g.
b)El volumen de la disolución de ácido sulfúrico necesario para que reaccione todo el zinc. Que a mi me a dado 10,6 mL, cuando el resultado debería ser 12,5mL.
Si alguien me puede ayudar se lo agradecería mucho la verdad.