Hola, como se haría este ejercicio:
Se comprueba que 28g de gas nitrógeno reaccionan exactamente con 6g de gas hidrógeno para dar amoníaco:
a) ¿Cuantos gramos de amoniaco se han formado?
b) Si se introducen 28g de gas nitrógeno y 28g de gas hidrógeno ¿Qué cantidad de amoniaco se forma?
c) Si se introducen 6g de gas nitrógeno y 6g de gas hidrógeno ¿Qué cantidad de gas amoniaco se forma?
Gracias
Hola, tengo una duda sobre la electronegatividad de dos átomos, si por ejemplo me dan el O2 y otro elemento que esté en diferente grupo y período, ¿ Cómo puedo saber cual de los dos es más electronegativo?

Dependerá del elemento con el que lo combines.
Recuerda que la electronegatividad aumenta al subir en un grupo y en un periodo aumenta de derecha a izquierda
S8 es apolar o polar?

Hola Ana,
en primer lugar no es del 1s2 al 2s2, sino al revés. del n=2 al n=1. Se trata de una linea del espectro de emisión.
Por otro lado, los dos electrones de cada orbital tienen la misma energía, con lo que los saltos tendrán la misma energía y lo que se verá será una única línea.
Un saludo,
Breaking Vlad

Te sugiero este video..
Fórmula empírica y composición centesimal
A partir de ahí, se trata de que DESPUES DE IR
A CLASE (ver los vídeos relacionados con vuestras dudas) enviéis dudas
concretas, muy concretas. Y que nos enviéis también todo aquello que hayais
conseguido hacer por vosotros mismos. Paso a paso, esté bien o mal. No solo el
enunciado. De esa manera podremos saber vuestro nivel, en que podemos ayudaros,
cuales son vuestros fallos.... Y el trabajo duro será el vuestro. Nos cuentas
¿ok? #nosvemosenclase ;-)

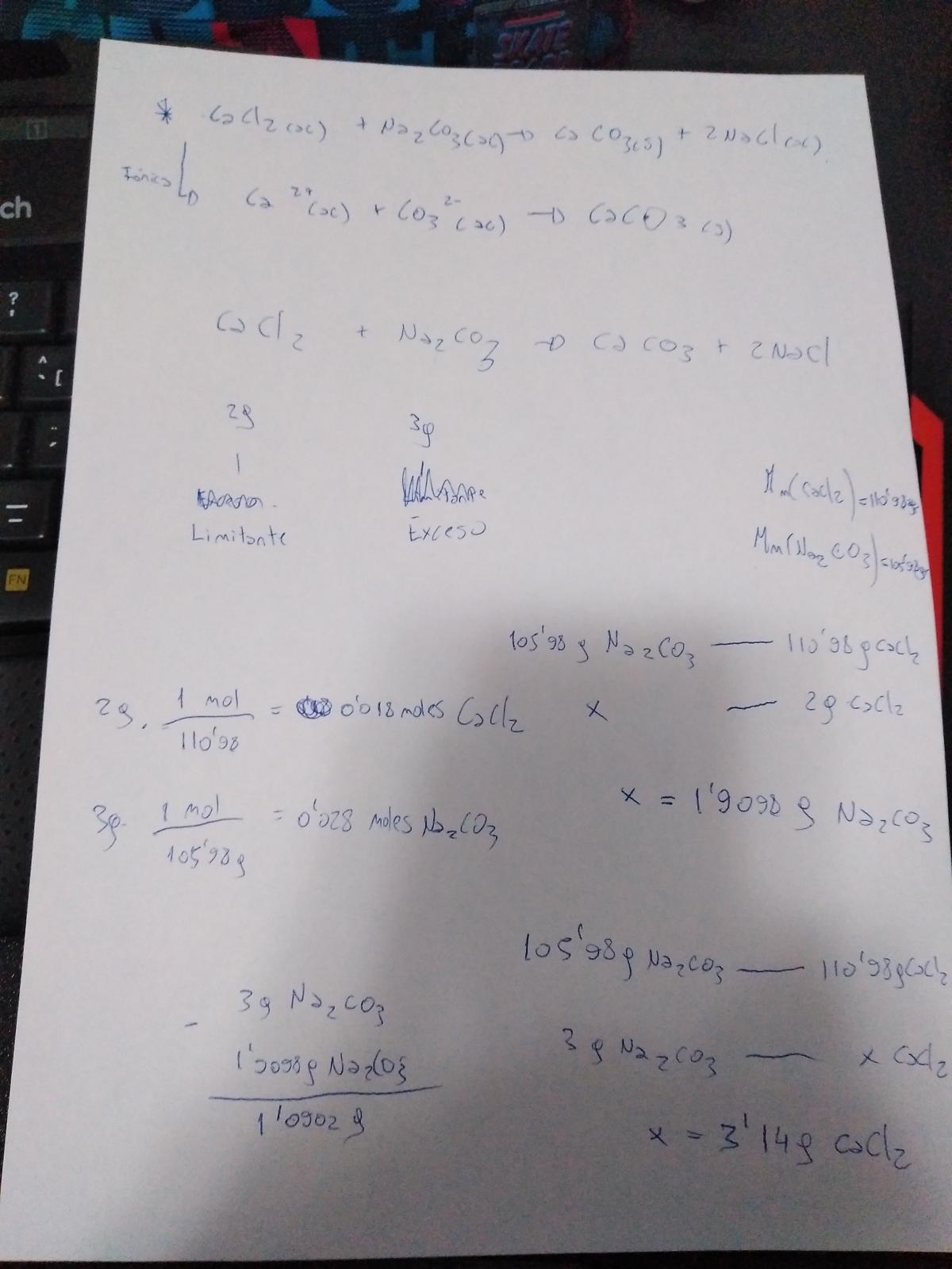
Te sugiero este video..
Estequiometria 02
A partir de ahí, se trata de que DESPUES DE IR
A CLASE (ver los vídeos relacionados con vuestras dudas) enviéis dudas
concretas, muy concretas. Y que nos enviéis también todo aquello que hayais
conseguido hacer por vosotros mismos. Paso a paso, esté bien o mal. No solo el
enunciado. De esa manera podremos saber vuestro nivel, en que podemos ayudaros,
cuales son vuestros fallos.... Y el trabajo duro será el vuestro. Nos cuentas
¿ok? #nosvemosenclase ;-)

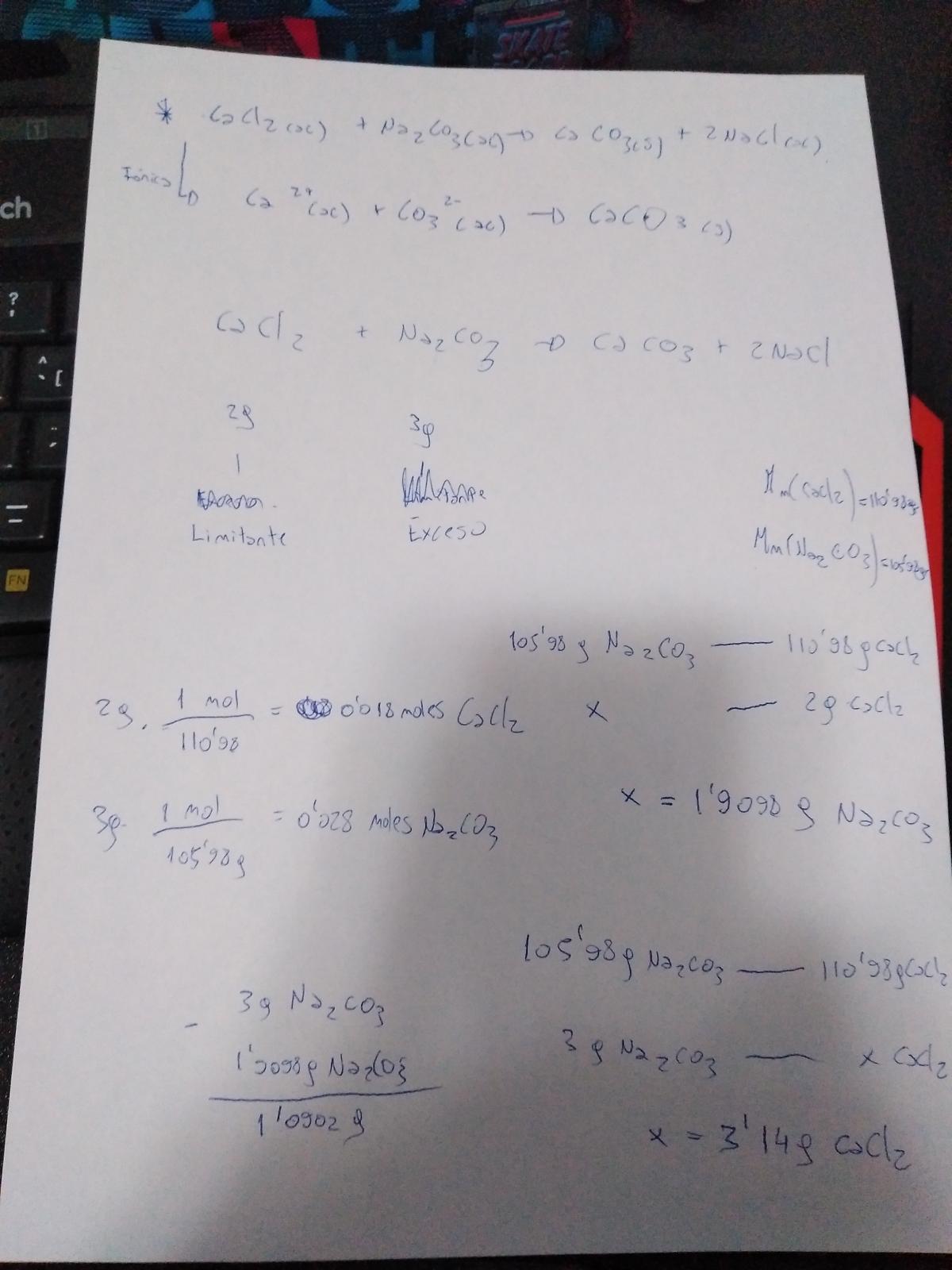
Te sugiero este video..
Estequiometria 02
A partir de ahí, se trata de que DESPUES DE IR
A CLASE (ver los vídeos relacionados con vuestras dudas) enviéis dudas
concretas, muy concretas. Y que nos enviéis también todo aquello que hayais
conseguido hacer por vosotros mismos. Paso a paso, esté bien o mal. No solo el
enunciado. De esa manera podremos saber vuestro nivel, en que podemos ayudaros,
cuales son vuestros fallos.... Y el trabajo duro será el vuestro. Nos cuentas
¿ok? #nosvemosenclase ;-)