Buenas tardes.
Hoy he hecho el examen final de química. En general ha ido bastante bien, pero ha habido un ejercicio que nos ha dejado en duda a todos y que me gustaría aclarar. No me acuerdo del enunciado a la perfección, pero más o menos era así:
Problema 1: Se introducen 20 g de Ca(OH)2 en 250 mL de agua y con un 90% de pureza en masa. Se toman 10 mL de esta disolución y se mezclan con 15 mL de una disolución de HNO3 de densidad 1'43g/mL y con una pureza del 30'7%.
La duda es la siguiente: ¿es posible que dé un pH negativo? Si es así, ¿tiene lógica en este ejercicio? Gracias de antemano.

Hola David,
Bueno, yo acabo de hacer los cálculos con los datos que has dado, y el pH me resulta positivo ( pH = 1,08) Pero no lo tengamos en cuenta ya que dices que no te acuerdas de los datos del todo bien.
1. El primer apartado, correcto. Lo único es ajustarlo, necesitarás dos moles de HNO3 y 2 moles de H2O
2. Puede ser correcto el resultado, no he hecho el cálculo como digo, sin embargo, creo que no es correcto decir que "la reacción es ácida". La reacción es una reacción ácido-base, y el resultado da una disolución ácida por que el ácido está en exceso. Eso sería más correcto.
3. Tal y como te digo, a mi me ha dado positivo. En tus 10mL de disolución básica llevas 0,0108mol Ca(OH)2. Y en tus 15mL de disolución ácida llevas 0,104mol HNO3. Si restas 0,104 - 2·0,0108 = 0,0829 mol HNO3 en exceso, y eso da un pH de 1,08.
Sin embargo, independientemente de este resultado, piensa que cualquier ácido cuya concentración sea mayor de 1M dará un pH < 0 mediante el cálculo. Y aquí hay una gran discrepancia entre los químicos, algunos dicen que sí puede ser y otros que no. Yo lo veo de la siguiente manera. El pH, matemáticamente puede dar negativo, correcto, sin embargo, la escala de pH se establece entre 0 y 14, con lo que: si da <0, el pH se da como 0. Y viceversa, si da >14, se da como pH = 14.
Espero haberte ayudado
Un saludo,
Breaking Vlad

Buenas,
En primer lugar, gracias por la respuesta. Los datos creo recordar que eran así o muy semejantes, así que el resultado no difiere demasiado. Pero, ¿por qué no has dividido los moles que sobraban de HNO3 entre los litros de disolución? ¿No se supone que el pH mide la concentración de protones y no los moles? Si los moles que te sobran los divides entre los 25mL de disolución el resultado es prácticamente igual al que obtuvimos.
Hola, he visto que teneis videos de equilibrio químico pero son de ácido-base y producto de solubilidad. Me preguntaba si podríais subir un video solo sobre Kc, Kp y Qc o redireccionarme a ejercicios de este estilo resueltos. Gracias de antemano!
DISOLUCIONES
Lo he intentado varias veces, y no consigo llegar a los resultados. ¿Me guían paso a paso?
Problema:
Una masa de sal sulfato de zinc se encuentra diluida en 250mL de agua y posee una fracción molar del soluto de 0,6. Determinar: Molaridad (M) y Normalidad (N).

Hola Leonardo,
Para resolver este ejercicios has de tener en cuenta la densidad y la masa molar del agua.
La fracción molar esa quiere decir que los moles de ZnSO4 entre los moles de agua = 0,6
Así que has de calcular los moles de agua para calcular los de ZnSO4, y luego calcular la molaridad y normalidad.
Un saludo,
Breaking Vlad
¿Se puedebalancear una ecuación química por el metodo del ión electron si está no tiene acidos ni bases? Como la siguiente Na3Po4 + BaCl ---> Ba3(PO4)2 + NaCl

Hola Monica,
Sólo se pueden balancear por el método ión-electrón reacciones redox. Esa reacción no es redox, fíjate que ningún elemento se oxida ni reduce.
Por lo tanto, esa reacción NO se puede ajustar por ese método.
Sin embargo, si alguna vez se te diera el caso de una redox en medio neutro (cosa que yo no he visto aún en 9 años que llevo con la química) prueba de ajustarla en medio ácido o básico, seguramente se te cancelen los H+ o los OH-
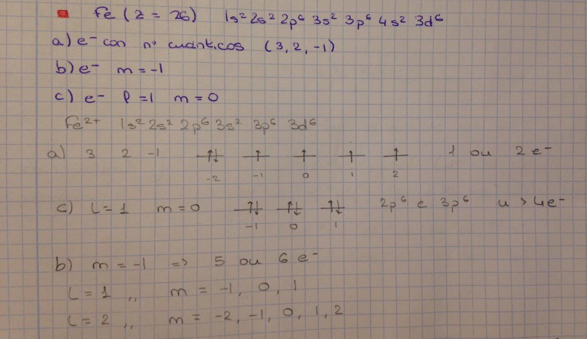
Hola Chicos, la profe en clase ha resuelto el ejercicio que os dejo a continuación sobre números cuánticos. pero no entiendo porque en el apartado a) la m le da -1. y tampoco porque al final pone 1 o -2 electrones? Y por qué elimina el orbital 4s2 para dejar el Fe cargado con 2+?
Me estoy volviendo loca, me podéis echar un cable?? Ah! ya he visto el video sobre numeros cuanticos y los ejercicios normales sé hacerlos. :)![]()

Hola Sus,
vamos por partes.
a) En este apartado (parece que) piden el número de electrones con configuracion 3,2,-1. Lo que ha hecho ha sido colocar los 5 orbitales, en orden creciente (-2,-1,0,1,2) y llenarlos según las reglas. Y ha visto que en con la configuración 3,2,-1 hay un electrón.
Sin embargo, al final pone 1 o 2, porque esos orbitales están degenerados, tienen la misma energía, con lo que un electrón (el que está en -2) realmente puede saltar de un orbital a otro pudiendo estar en -1 en un momento dado.
b) elimina el orbital 4s2 porque el Fe2+, por la configuración que tiene, quedaría 4s23d4 sin embargo, de esa manera, se pierde estabilidad ya que la capa "d" no queda semillena, quedaría un orbital vacío. Es más fácil y da más estabilidad perder los 4s2 antes que los 3d6. Por otro lado, fíjate que los primeros electrones que se pierden son los más exteriores, de mayor nivel de energía, y en ese caso 4s > 3d ya que el valor de n es mayor. Por lo tanto, visto así también se perderían primero los 4s ;)
Un saludo,
Breaking Vlad
a) Simbolizar un electron que se encuentra en un orbital s del cuarto nivel.
b) Simbolizar un electron que se encuentra en el segundo nivel y a un orbital d.
c) Simbolizar un electron que se encuentra en el tercer nivel y a un orbital p.
Gracias de antemano.

Te sugiero este video..
Configuración electrónica y números cuánticos. Moeller AUFBAU
A partir de ahí, se trata de que DESPUES DE IR A CLASE (ver los vídeos
relacionados con vuestras dudas) enviéis dudas concretas, muy concretas. Y que
nos enviéis también todo aquello que hayais conseguido hacer por vosotros
mismos. Paso a paso, esté bien o mal. No solo el enunciado. De esa manera
podremos saber vuestro nivel, en que podemos ayudaros, cuales son vuestros
fallos.... Y el trabajo duro será el vuestro. Nos cuentas ¿ok? #nosvemosenclase
;-)
Como puedo identificar el reactor y el producto?
Pues el reactivo es el que reacciona con otro elemento para dar los productos. Es decir;
Reactivo A + Reactivo B ----> Producto C + Producto D
(Ojo, no siempre hay dos reactivos o dos productos, pueden haber de uno a más en ambos casos, como por ejemplo un reactivo y dos productos, dos reactivos y un producto... Dos o mas reactivos y dos o mas productos...)
Buenas,
necesito vuestra ayuda. No entiendo la siguiente pregunta:
En que mezcla es NaOH el reactivo limitante?
A. 0.20mol NaOH + 0.10mol H2SO4
B. 0.10mol NaOH + 0.10mol H2SO4
C. 0.20mol NaOH + 0.10mol HNO3
D. 0.10mol NaOH + 0.10mol HNO3
Gracias!
Hallar el reactivo limitante consiste en calcular mediante los moles de un elemento, cuantos reaccionan con el otro y en funcion de si tu resultado es mayor o menor de lo que dispones del segundo elemento es el reactivo limitante (si te da mas que tienes) o en exceso.
Pues todo ese proceso, repetirlo en cada apartado xd
Buenas, una pregunta sobre el ajuste de reacciones químicas:
A la hora de ajustar una reacción química, es posible poner un coeficiente que sea 3/2? Para ajustar la reaccción CH3OH + O2 -------> CO2 + H2O, si es correcto poner 3/2 de coeficiente, la reacción ajustada quedaría: CH3OH + 3/2O2 -----> CO2 + 2H2O. Es correcto?
Muchas gracias de antemano