Foro de preguntas y respuestas de Química

logo beUnicoos
Los foros de unicoos se han unificado en nuestra nueva plataforma beUnicoos. Para dejar nuevas preguntas deberás hacerlo allí, donde además podrás encontrar nuevas asignaturas y herramientas para ayudarte más con tus estudios.

  • icon

    Matias Benditkis
    el 14/9/16
    flag

    Hola me podrian ayudar con el ejercicio 12) 


    replythumb_up0 voto/sflag
    icon

    José Miguel
    el 14/9/16

    Hola Matías, son isótopos los átomos de un mismo elemento con distinto número másico A pero mismo número atómico Z (AZX). Son isóbaros, los átomos de distintos elementos que tengan en común el número másico A. Con esta información no creo que te resulte complicado resolverlo...

    Pista: 4019Ne    ,    4018Ar    y    4020Ca    son isóbaros ya que tienen en común el número másico A.    2210Ne    y    1110Ne    son isótopos.

    El resto te toca a ti. Saludos.

    thumb_up0 voto/sflag
  • icon

    Fernando Daniel Klein
    el 14/9/16
    flag

    i need help with esta ecuación que no se quiere dejar balancear.

    El ejercicio es de redox, por si sirve de algo.


    replythumb_up0 voto/sflag
    icon

    David
    el 14/9/16

    thumb_up2 voto/sflag
  • icon

    Heide Solorzano
    el 14/9/16

    Me podrían ayudar con este ejercicio, he intentado con calcular el volumen de la pastilla y multiplicarla x100 y luego utilizar la formula del volumen de un cilindro para despegar H  pero no logro dar con el resultado. AYUDA!!!! GRacias xD

    replythumb_up0 voto/sflag
    icon

    David
    el 14/9/16

    El volumen de las aspirinas será 612mg. (1 cm³/ 1400 mg) x 100 =43,7143 cm³
    El volumen del cilindro es V=π.R².h = π.2,5².h....
    Por tanto π.6,25.h = 43,7143... h=43,7143 / (6,25π)=2,226 cm

    thumb_up1 voto/sflag
  • icon

    Sibelle Foster
    el 14/9/16

    hola alguien podria ayudarme con un pequeño problema de quimica que me confunde un poco este es el problema:

    la poblacion mundial es aproximadamente de 65,000,000 suponga que cada persona sobre la tierra participa en un proceso de contar particulas identicas a una rapidez de dos particulas por segundo cuantos años llevara contar 6.0x 10^23 particulas. suponga un año  de 365 dias

    replythumb_up0 voto/sflag
    icon

    David
    el 14/9/16

    Es más sencillo de lo que parece... Se trata de multiplicar... 65.000.000 personas x (2 particulas/segundo) = 130.000.000 particulas /segundo...
    Si divides 6.10^23 entre 130.000.000 obtendrás los segundos...  Y de segundos a años, te lo dejo a tí...

    thumb_up1 voto/sflag
  • icon

    Claudia B´s
    el 14/9/16

    Buenas compañeros/as!! De casualidad alguno tendrá el libro colín baird de química ambiental en PDF ?? Porfis.gracias

    replythumb_up0 voto/sflag
    icon

    David
    el 14/9/16

    No, lo siento. No conozco ningunno...

    thumb_up0 voto/sflag
  • icon

    Leonel VG
    el 13/9/16

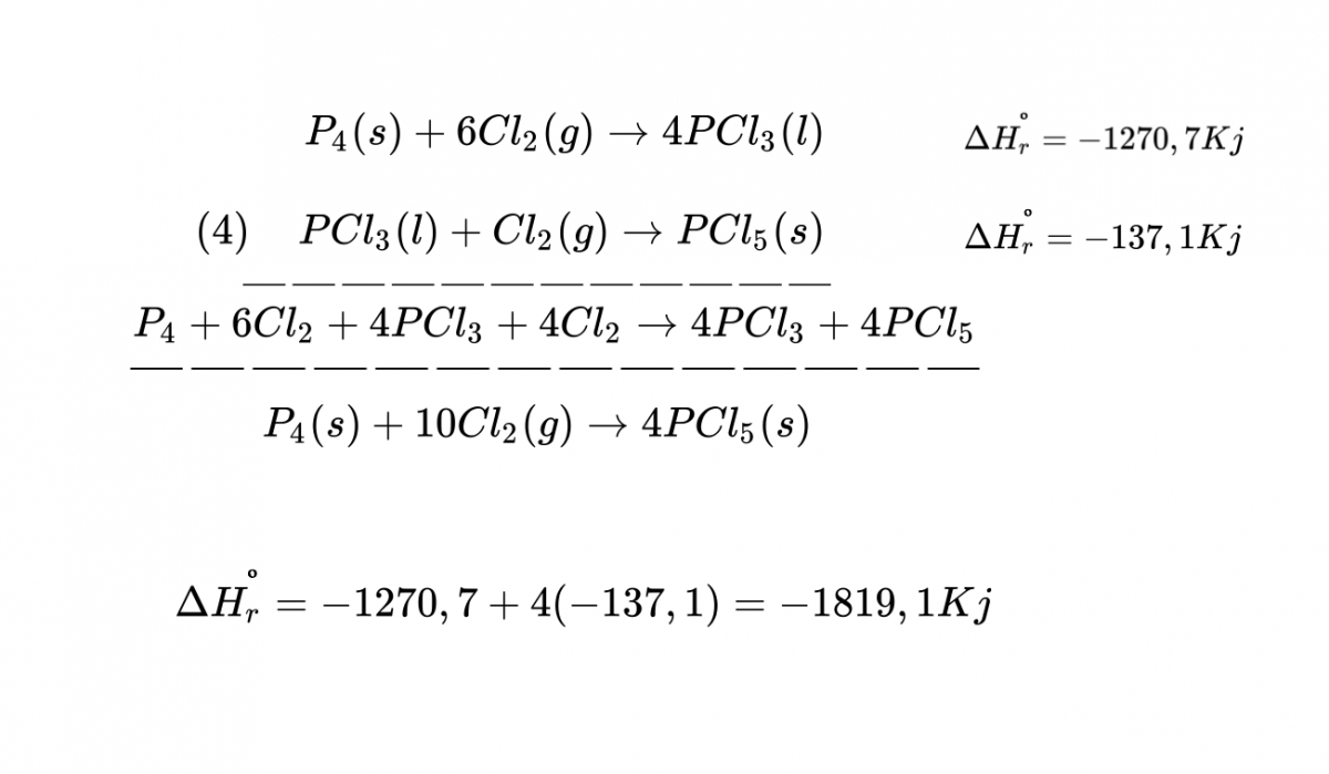
    Hola unicoos. Vengo de la selectividad, contento porque una buena cantidad de exámenes los he hecho perfectos, pero fastidiado con el de química (decidí que quería estudiar una carrera para la que química ponderaba doble y me la he tenido que preparar en tres meses despues de 2 años sin hacerla). Todo bien menos un ejercicio de ley de Hess. He estado casi una hora del examen dándole vueltas sin llegar a nada. Ya no se puede cambiar el resultado, pero me gustaría quitarme la duda de cómo tendría que haberlo hecho.

    Gracias.



    replythumb_up0 voto/sflag
    icon

    David Moldes
    el 13/9/16

    Lo primero de todo, las reacciones químicas que te dan están mal ajustadas. A la primera le falta un 4 en el PCl3 , y a la segunda le tienes que quitar el "6" que precede al Cl2

    A partir de ahí, es un típico ejercicio de ley de Hess, te dejo foto:



    thumb_up1 voto/sflag
    icon

    Leonel VG
    el 13/9/16

    Noo. Y yo intentando hacerlo con las ecuaciones desajustadas... Tan sencillo como haber ajustado la reacción. No caí en que en las termoquímicas se podía hacer sin cambiar la entalpía u otros coeficientes :(

    Qué pena. Muchas gracias David.


    thumb_up1 voto/sflag
    icon

    José Miguel
    el 13/9/16

    Hola Leonel, supongo que no se podía preguntar si era necesario ajustar las reacciones no? Es que llevo dándole vueltas un rato y es la única solución que se me ocurre. De esa forma, en la primera reacción se formal 4 moles de PCl3 . En la segunda reacción vemos que el Cl2 está en exceso, puesto que un mol del mismo es suficiente para hacer reaccionar 1 mol de tricloruro de fósforo para dar PCl5 y en conclusión, las ajustaría de la siguiente forma y resolvería el problema de la siguiente manera: (imagen)

    Te aseguro que me he repasado los apuntes por si acaso, y es la única solución posible por ley de hess. Siento no poder ayudarte más :(


    thumb_up0 voto/sflag
    icon

    José Miguel
    el 13/9/16

    David ha sido más rápido, pero ojo que hay un pequeño error en el resultado, ha multiplicado por 4 la ecuación a en vez de la b. Solo te cambia el resultado, lo cual te hubiera restado algo en el examen, pero el resto lo ha hecho perfecto :)

    Saludos.

    thumb_up0 voto/sflag
    icon

    David Moldes
    el 13/9/16

    Es verdad,  por las prisas he multiplicado primero la a) al haber colocado antes la 4b) me he confundido!

    thumb_up1 voto/sflag
  • icon

    carlos
    el 12/9/16

    hola buenas tardes :) en los ejercicios de equilibro, si no m dan el volumen como lo despejo al llegar a la ecuacion??

    replythumb_up0 voto/sflag
    icon

    David Moldes
    el 12/9/16

    En los ejercicios que no te dan un valor del volumen, éste se suele ir ya que hay más productos que reactivos o viceversa, y al final se acaban simplificando. Si no nos pones el ejemplo concreto...

    thumb_up0 voto/sflag
  • icon

    Aya
    el 12/9/16

    Hola ! Querá preguntarte que , cuál és la tenndéncia principal de los elementos de la primera columna de la tabla periódica de la izquierda? ¿Cuántos? ¿Y los de la primera de la derecha?¿Cuántos?

    replythumb_up0 voto/sflag
    icon

    José Miguel
    el 13/9/16

    Hola Aya, cuando hablamos de los elementos de la primera "columna" en realidad nos referimos al grupo 1 de la tabla periódica, llamados alcalinos. Su principal tendencia es la de donar un electrón para lograr estabilidad ya que su última capa quedaría completa (no cabría un electrón más en ésta); ¿cuántos? Pues desde el litio (Li), pasando por el Na, K, Rb, Cs y francio (Fr) que es radiactivo. Los de "la primera de la derecha" son los elementos pertenecientes al grupo 18, los gases nobles, y su principal tendencia es a no reaccionar ya que tienen su última capa de electrones o capa de valencia completa. Aun así, alguno de ellos, como el xenon (Xe) es capaz de reaccionar con el elemento más electronegativo de la tabla, que es el flúor (F). Estos engloban al helio (He), neon (Ne), argón (Ar), kriptón (Kr), xenón (Xe) y radón (Rn).

    Espero que esto resuelva tu duda. Saludos.

    thumb_up1 voto/sflag
  • icon

    Maria
    el 12/9/16

    Hola unicoos! Saben de algun video donde expliquen las reacciones de quimica organica: sustitucion, eliminacion, adiccion, oxidacion, etc. Me seria de mucha ayuda, ese tema lo domino fatal.

    Un saludo y gracias

    replythumb_up0 voto/sflag
    icon

    David
    el 12/9/16

    Pues lo siento pero no tenemos vídeos por ahora de esas lecciones.... Son demasiado teóricas y no les encuentro el "punto"... Espero lo entiendas...

    thumb_up0 voto/sflag
    icon

    José Miguel
    el 13/9/16

    Hola María, a pesar de que unicoos no profundice en las reacciones de orgánica ya que no es habitual hacerlo en bachiller, sino ya en primero de carrera, te puedo recomendar algún canal de youtube que a mi me viene genial cuando me cuesta entender algo de reacciones orgánicas. El que más me suele ayudar es el canal de Germán Fernández, un profesor de orgánica de la universidad de Oviedo.

    Espero que te sirva. Saludos.

    thumb_up0 voto/sflag
  • icon

    Guille Martínez
    el 12/9/16
    flag

    hola buenas, me gustaria saber donde estan los enlaces con los ejercicios ya que me gustaria ir practicando formulacion tanto organica como inorganica

    replythumb_up0 voto/sflag
    icon

    David
    el 12/9/16

    Tienes un boton de busqueda genial en el banner superior... Solo tienes que buscar "organica" o "inorganica"... 
    O buscar los temas de FORMULACIÓN (todos los vídeos están ordenados por asignatura, curso, tema y lección... 

    thumb_up0 voto/sflag