¡UPS! Para ver vídeos en la web debes estar registrado, es totalmente gratuito.

Recuerda además que sólo por ser unicoo, GRATIS, podrás dejar tus dudas en los foros de beUnicoos, acumularás energy y help points y ganarás decenas de medallas. Registrarte solo te llevará unos segundos. Nosotros somos unicoos ¿y tú? #nosvemosenclase

Derivadas parciales

En este caso hallaremos las DERIVADA PARCIALES de una funcion(x,y,z) con respecto a x, y, z sucesivamente.

Os recomiendo otros vídeos similares de esta sección de la web...

Agregar a mi mochila
0/ 682

* Para utilizar tu mochila o guardar tu progreso y acumular energy points debes ser usuario registrado. Regístrate o inicia sesión

Foro de preguntas y respuestas

logo beUnicoos
Los foros de unicoos se han unificado en nuestra nueva plataforma beUnicoos. Para dejar nuevas preguntas deberás hacerlo allí, donde además podrás encontrar nuevas asignaturas y herramientas para ayudarte más con tus estudios.
  • icon

    Alex_ramirez_s@msn.com
    el 12/2/20

    hola te hago una pregunta.

    Sea g(x) una  funcion derivable y f(x) = cos^2(7x).g(x+4x)+3^3x^4+2 si  f'(0)=8.  Calcular g'(0).

    replythumb_up0 voto/sflag
    icon

    Antonius Benedictus
    el 14/2/20

    Si subes al foro de Matemáticas una foto del enunciado original, te lo explicamos.

    thumb_up0 voto/sflag
  • icon

    Paloma
    el 14/12/19

    Hola!! Si quiero hacer la derivada parcial en un punto, primero hago las derivadas con respecto a cada variable que me dan y luego sustituyo para ese punto, o qué se hace? En ese caso obtengo tantos resultados como variables hay, no?

    replythumb_up0 voto/sflag
    icon

    David
    el 29/1/20

    Primero haces las derivadas con respecto a cada variable que te dan y luego sustituyes para ese punto

    thumb_up0 voto/sflag
  • icon

    María Acosta
    el 14/9/19
    flag

    De la pregunta 3, sólo marqué la opción e. Estoy en lo correcto ? 

    replythumb_up0 voto/sflag
    icon

    David
    el 14/10/19

    Para dudas que no tienen que ver explicitamente con lo que hago en un vídeo, lo ideal es que uséis el FORO GENERAL de matemáticas, física o química

    thumb_up1 voto/sflag
  • icon

    Luciana Arce
    el 3/7/19

    hola!! Me podrían ayudar con este enunciado?

    Gracias!! 

    replythumb_up0 voto/sflag
    icon

    César
    el 5/7/19

    te lo muestro geometricamente, calcula la recta que pasa por A B

    y larecta tangente en su punto medio.

    thumb_up0 voto/sflag
  • icon

    hernan cutipa
    el 13/12/18

    En próximo año llevó límites derivadas integrales. K debo saber para dominarlo?  ya que a la pizarra no logró visualizar bien ni con lentes espero su aporte gracias 


    replythumb_up0 voto/sflag
    icon

    David
    el 8/1/19

    Tienes todos los vídeos ordenados por asignatura, curso, tema y lección. Para limites, derivadas e integrales empezaría con los vídeos de 1º de Bachillerato. Un abrazo!


    thumb_up0 voto/sflag
  • icon

    Matias Nicolas Sepulveda Guevara
    el 23/11/18

    hola me podrian ayudar con uno ejercicio

    1.     Un terreno rectangular está limitado por un lado con un río y por los otros tres lados con una cerca eléctrica con un alambre. Si usted dispone de 800 metros de alambre, ¿Cuál es la máxima área que puede encerrar? ¿Cuáles son sus dimensiones?

    replythumb_up0 voto/sflag
    icon

    Antonius Benedictus
    el 23/11/18

    Éste es parecido (pon l=800):



    thumb_up0 voto/sflag
  • icon

    Alejandro
    el 30/10/18
    flagflag

    Hola disculpe me podrian ayudar con esta derivada ( xx) por definicion de limites, de antemano gracias.


    replythumb_up1 voto/sflag
    icon

    David
    el 31/10/18

    Para dudas que no tienen que ver explicitamente con lo que hago en un vídeo, lo ideal es que uséis el FORO GENERAL de matemáticas, física o química

    thumb_up1 voto/sflag
  • icon

    nicolas
    el 7/10/18

    como determino concavidad y convexidad ?

    replythumb_up1 voto/sflag
    icon

    David
    el 10/10/18

    Te sugiero esta lección... 

    Crecimiento y curvatura

    thumb_up1 voto/sflag
  • icon

    Wilberth Matos Tuncar
    el 7/10/18

    Sea una función derivable para todo x real tal que

    h(x) = f(x+3cosx+x^3) + 3x

    a)Determinar h"(x)

    b) Si f´(3) = 1 , f"(3) = 3, Calcular h"(0)

    Por favor una ayuda con este problema que me trae loco!! y GRACIAS de antemano.

    replythumb_up1 voto/sflag
    icon

    Antonius Benedictus
    el 8/10/18


    thumb_up2 voto/sflag
  • icon

    Angello Sihuas
    el 3/7/18

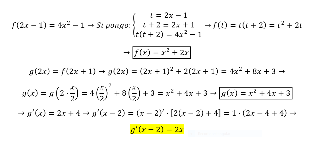
    Si: f(2x-1) = 4x²-1    Λ     g(2x) = f(2x+1)     

    Hallar la siguiente derivada:  g′(x-2)

    Alguna ayudita por ahi? :'C


    replythumb_up1 voto/sflag
    icon

    Antonius Benedictus
    el 3/7/18


    thumb_up1 voto/sflag
  • icon

    Jesus Abel Perez Coria
    el 20/6/18
    flagflag

    tengo un ejercicio q no puedo esolver( log*(senx+2x/3x²)  es por el metodo de la cadena estare agradecido



    replythumb_up1 voto/sflag
    icon

    David
    el 21/6/18

    Sí, es regla de la cadena. Pero te sugiero subas una foto con el enunciado escrito en un papel, tengo las sospecha de que te has comido paréntesis).. Y que lo hagas en el FORO GENERAL de matemáticas. Un abrazo!

    thumb_up1 voto/sflag
  • icon

    David A. Reyna Gutierrez
    el 6/6/18

    Disculpen, cómo puedo conseguir el libro de derivadas?


    replythumb_up2 voto/sflag
    icon

    David
    el 6/6/18

    En la sección de ebooks.. 
    Y si te haces PRO podrás acceder a teoría, ejercicios resueltos paso a paso y exámenes de autoevaluación.
    Abrazos!

    thumb_up2 voto/sflag
  • icon

    Lisbeth Dayana Maldonado Rojas
    el 7/5/18
    flag

    hola, una pregunta es que en un ejercicio me piden a.) encontrar la ecuación de la recta tangente a la grafica de y=g(x) en x=5 si g(5)=-3 y g'(5)=4. b.) si la recta tangente a y=f(x) en (4,3) pasa x el punto (0,2), encuentre f(4) y f'(4). Entonces me gustaria que me ayudaran explicandome como lo puedo resolver

    replythumb_up1 voto/sflag
    icon

    Antonius Benedictus
    el 7/5/18

    Sube foto original del ejercicio al foro de Matemáticas.

    thumb_up1 voto/sflag
  • icon

    Lucero Piazza del Prado
    el 1/2/18

    Hola, una consulta será posible que hayan videos de teoría, o consejos sobre cómo estudiar la teoría o información escrita también? Muchas gracias, profesor le cuento que gracias a sus videos hace unos años ingresé a la universidad. Saludos

    replythumb_up1 voto/sflag
    icon

    David
    el 1/2/18

    :D Hola Lucero. Sobre teoría es complicado que podamos grabar vídeos, aunque siempre intento contar la necesaria para cada ejercicio. En el "material adicional" de cada vídeo encontrarás, si eres PRO, toda la teoría y ejercicios resueltos que necesitas.

    thumb_up1 voto/sflag
  • icon

    Fernando
    el 13/11/17
    flagflag

    buenas, podrías hacer un vídeo con derivadas parciales mixtas, gracias.

    replythumb_up1 voto/sflag
    icon

    David
    el 15/11/17

    Este...  ¿?

    thumb_up1 voto/sflag
  • icon

    agustin
    el 23/9/17
    flag

    Hola David, me podrias indicar que criterio debo utilizar para derivar por regla o mediante la definicion en Calculo II? Muchas gracias!

    replythumb_up1 voto/sflag
    icon

    David
    el 27/9/17

    Dependerá del curso en el que estés y de cual sea el enunciado, de lo que te pida tu profesor.... Sin más datos, no puedo ayudarte. Un abrazo!

    thumb_up1 voto/sflag
  • icon

    JAVIER
    el 16/9/17
    flag

    Buenas tardes David, me podrias ayudar a hacer la derivada siguiente

    Y=log √ [(1-cos x) / (1+cos x)]

    Gracias



    replythumb_up1 voto/sflag
    icon

    Antonius Benedictus
    el 16/9/17


    thumb_up2 voto/sflag
  • icon

    Jose
    el 1/9/17

    Hola David, estoy repasando para la vuelta a la uní y se derivar pero para afianzar conceptos, aparte de practicar, que videos me recomendarías ver antes de seguir??? Necesito aprender muy bien a derivar respecto a x e y y saber integrar perfectamente para volúmenes de revolución y unidades de volumen y muchas cosas mas....Gracias de antemano!! Tus videos son de gran ayuda para mí!!!


    replythumb_up0 voto/sflag
  • icon

    excelsior
    el 14/6/17

    Buenas, les saludo desde Perú para pedirles ayuda en la pregunta 2.5 problema q. De antemano muchas gracias. Saludos 

    replythumb_up1 voto/sflag
    icon

    Antonius Benedictus
    el 14/6/17


    thumb_up1 voto/sflag
  • icon

    Tatiana
    el 22/2/17

    Hola Unicoos. Recientemente empecé la carrera de ADE, el problema radica en que vengo de un grado superior y no sé NADA de matemáticas, mis amigos me han recomendado muchísimo unicoos y llevo tiempo viendo vuestros videos es por eso que quiero saber si podríais ayudarme, por dónde puedo empezar, como hacerme pro. Por favor necesito aprender todo. mil gracias.

    replythumb_up0 voto/sflag
    icon

    Antonius Benedictus
    el 22/2/17

    Pues eso mismo. Viendo los vídeos de unicoos,com por orden de dificultad (Eso, bachiller...).  Y yendo a las actividades sugeridas en cada vídeo.

    thumb_up0 voto/sflag
  • icon

    Carlos cebellán martagón
    el 21/1/17
    flagflag

    Hola buenas! Mira me estoy volviendo loco con una derivada, que depende de la pagina que busque el resultado me da cosas diferentes. Sería la derivada parcial de la f(x,y) de arriba. A ver si me puedes ayudar

    Muchas gracias!

    replythumb_up0 voto/sflag
    icon

    David
    el 22/1/17

    Para dudas que no tienen que ver explicitamente con lo que hago en un vídeo, lo ideal es que uséis el FORO GENERAL de matemáticas, física o química



    thumb_up2 voto/sflag
  • icon

    Andrea Garcia Castillo
    el 12/1/17

    Hola! no entiendo cuando derivas respecto de Z dices que la derivada de z es -1 

    replythumb_up0 voto/sflag
    icon

    David
    el 18/1/17

    La derivada de z es 1.. Pero está restando...

    thumb_up0 voto/sflag
  • icon

    oliwia
    el 9/1/17
    flag

    hola buenas  , tengo mucha dificultades con las Matrices Helssianas  , puesdes hacer un ejercisio , es que me gusta mucho como explicas y contigo entiendo las mates . Muchas gracias . Soy universitaria de biotec en Vic . Saludos!!


    replythumb_up5 voto/sflag
  • icon

    Miguelito Ruiz
    el 7/11/16
    flagflag

    Hola como derivó esas dos funciones?quede estancado ahí! Aiuuuudaaa😣😂


    replythumb_up0 voto/sflag
    icon

    David
    el 7/11/16

    Te sugiero los vídeos de REGLA DE LA CADENA... Regla de la cadena 
    A partir de ahí, para dudas que no tienen que ver explicitamente con lo que hago en un vídeo, lo ideal es que uséis el FORO GENERAL de matemáticas, física o química. Además, se trata de que DESPUES DE IR A CLASE (ver los vídeos relacionados con vuestras dudas) enviéis dudas concretas, muy concretas. Y que nos enviéis también todo aquello que hayais conseguido hacer por vosotros mismos. Paso a paso, esté bien o mal. No solo el enunciado. De esa manera podremos saber vuestro nivel, en que podemos ayudaros, cuales son vuestros fallos.... Y el trabajo duro será el vuestro. Nos cuentas ¿ok? #nosvemosenclase ;-)

    thumb_up0 voto/sflag
  • icon

    Pamela Montecinos
    el 26/10/16
    flagflagflag

    usando definicion calcular la derivada  de arcsinx


    replythumb_up0 voto/sflag
    icon

    David
    el 28/10/16

    Para dudas que no tienen que ver explicitamente con lo que hago en un vídeo, lo ideal es que uséis el FORO GENERAL de matemáticas, física o química

    thumb_up0 voto/sflag
  • icon

    aylen
    el 22/10/16
    flagflag

    Hola!!!! Por favor alguien me ayuda con esta derivada parcial?  

    replythumb_up0 voto/sflag
    icon

    David
    el 24/10/16

    Para dudas que no tienen que ver explicitamente con lo que hago en un vídeo, lo ideal es que uséis el FORO GENERAL de matemáticas, física o química

    thumb_up0 voto/sflag
  • icon

    Sofía Montecino
    el 26/9/16
    flagflag

    • hola necesito derivar con regla de la cadena este ejercicio : raiz cuadrada de sen³(3x-2)²    ayuda!!!

    replythumb_up0 voto/sflag
    icon

    David
    el 28/9/16

    Para dudas que no tienen que ver explicitamente con el vídeo, por favor, el foro general de matematicas
    En tu caso, además deberías ver los vídeos de esta lección... Regla de la cadena

    Nos cuentas despues ¿ok?... 

    thumb_up0 voto/sflag
  • icon

    bastian bustos
    el 18/5/16
    flagflag

    holaaa :D como puedo especificar el dominio de la función?

    replythumb_up0 voto/sflag
    icon

    David
    el 20/5/16

    ¿¿?? Echañle un vistazo... Dominio de una funcion

    thumb_up0 voto/sflag
  • icon

    sofia
    el 16/4/16
    flagflagflag

    Hola, quería saber como resolver este ejercicio. Me piden encontrar los puntos críticos de esta función. Por lo que entiendo, debería calcular la derivada de primer orden con respecto a X y la con respecto a Y, luego igualarlas a 0 y encontrar los puntos. No se que estoy haciendo mal pero llego a que 3=1. Alguien podría ayudarme? Aqui les dejo el ejercicio.

    F(x,y)= (x^2+3y^2)*e^(1-(x^2+y^2))

    replythumb_up0 voto/sflag
    icon

    David
    el 17/4/16

    Para dudas que no tienen que ver explicitamente con el vídeo, lo ideal es que uséis los foros generales de matemáticas, física y química.. Por otro lado, siento decirte que me encantaría ayudarte, pero no respondo dudas universitarias que no tengan que ver específicamente con los videos que ya he grabado como excepcion. Lo siento de corazón… Espero lo entiendas

    P.D. Si dejas tu duda en el foro general de matematicas es posible que algún aunicoo se anime a ayudarte. Besos!

    thumb_up0 voto/sflag
  • icon

    Roberth
    el 7/3/16
    flagflagflag

    Hola prof buenas tardes , una pregunta sabe que a mi me piden que calcule la derivada parcial diferencial (ƒy)x, (ƒy)y, ƒx y ƒy de ƒ: (xe^-y/x) ... Mi duda es que cuando derive parcialmente,suponga, con respecto a x (ƒx) , la "y" se tomara como una constante mientras derivo "x" quedaria: ƒx= e^-y/x - y/x^-1×e^-y/x ???? ... En la potencia de e^-y/x aplique la propiedad de la derivada de ƒ(x): κ⁄v , ƒ′(x): -κ.v′/v^2?? y luego la derivada de "e" .... ¿y como seria en el caso de ƒy?

    ">

    replythumb_up0 voto/sflag
    icon

    David
    el 8/3/16

    Para dudas que no tienen que ver explicitamente con el vídeo, lo ideal es que uséis los foros generales de matemáticas, física y química. Teniendo en cuenta, eso sí, que no puedo asegurarte ayuda pues unicoos por ahora se queda en bachiller (en lo que respecta sobre todo a los foros)... ANIMO! Un abrazo!

    thumb_up1 voto/sflag
  • icon

    Abel Rodríguez Pavón
    el 28/1/16
    flagflag

    HOLA BUENAS
    podria hacer el siguiente limite:

    lim x-->0 ln (√ x-1) / x

    lo agradeceria, gracias

    replythumb_up0 voto/sflag
    icon

    David
    el 28/1/16

    Para dudas que no tienen que ver explicitamente con el vídeo, lo ideal es que uséis los foros generales de matemáticas, física y química
    Se trata de que DESPUES DE IR A CLASE (ver los vídeos relacionados con vuestras dudas) enviéis dudas concretas, muy concretas. Y que nos enviéis también todo aquello que hayais conseguido hacer por vosotros mismos. Paso a paso, esté bien o mal. No solo el enunciado. De esa manera podremos saber vuestro nivel, en que podemos ayudaros, cuales son vuestros fallos.... Y el trabajo duro será el vuestro. #nosvemosenclase Nos cuentas ¿ok?

    thumb_up2 voto/sflag
  • icon

    Silvia Mar
    el 5/2/15

    Hola profe!

    En este caso, cuando estamos derivando en función de y, no tenemos que aplicar la regla de la cadena y añadir después de xz2 una y' multiplicándolo?
    O esta y sería una letra cualquiera como si pusiéramos una h por ejemplo?

    Gracias de antemano :)
    Silvia

    replythumb_up1 voto/sflag