¡UPS! Para ver vídeos en la web debes estar registrado, es totalmente gratuito.

Recuerda además que sólo por ser unicoo, GRATIS, podrás dejar tus dudas en los foros de beUnicoos, acumularás energy y help points y ganarás decenas de medallas. Registrarte solo te llevará unos segundos. Nosotros somos unicoos ¿y tú? #nosvemosenclase

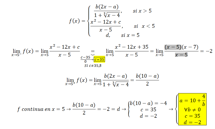
Función a trozos - Discontinuidad 01

Hallaremos los valores de los parametros a,b,c y d que hacen que la función a trozos dada sea continua.
Repasaremos conceptos de continuidad (discontinuidad de salto finito)

ACLARACION. Como la solucion de b=-4/(10-a) y el denominador no puede ser nulo, deberíamos aclarar que a no puede tomar el valor 10 en ningun caso.

Agregar a mi mochila
0/ 600

* Para utilizar tu mochila o guardar tu progreso y acumular energy points debes ser usuario registrado. Regístrate o inicia sesión

Material adicional

* Los materiales marcados con el símbolo de la estrella () sólo serán accesibles para usuarios PRO. Conviértete en PRO

Foro de preguntas y respuestas

logo beUnicoos
Los foros de unicoos se han unificado en nuestra nueva plataforma beUnicoos. Para dejar nuevas preguntas deberás hacerlo allí, donde además podrás encontrar nuevas asignaturas y herramientas para ayudarte más con tus estudios.
  • icon

    Jesus miguel
    el 30/12/18

    Hola Profe gracias por todos sus vídeos son de gran ayuda. Quería hacerle una pregunta referente al vídeo, si quisiéramos saber el valor de x cuando va a +infinito deberíamos calcularlo con la función [b(2x-a)]/1+raíz al cubo de x-4. Para eliminar la raíz del denominador podríamos multiplicar y el numerador y denominador por el conjugado?

    Gracias un abrazo.

    replythumb_up0 voto/sflag
    icon

    David
    el 8/1/19

    El limite cuando x tiende a infinito se haría como en este caso . Y da infinito

    Límite infinito entre infinito 01

    thumb_up0 voto/sflag
  • icon

    Tayba Bin Muslim
    el 1/3/17

    profe, en el minuto 8:31 dices que d=-2. pero el lím tiende a 5 positivo no negativo, además d = 5, no??. me estoy liando :(

    replythumb_up0 voto/sflag
    icon

    Antonius Benedictus
    el 1/3/17

    El límite, cuando x tieende a 5 (por la izquierda) vale -2. Para que la función sea continua, el límite por la derecha ha de valer también -2, y el valor auténtico de la función, esto es, f(5), que es "d", ha de valer también -2.

    thumb_up4 voto/sflag
  • icon

    GiantWolf True
    el 25/1/17

    En la ultima parte cuando dejas "b" en funcion de "a" y te queda b=-4/(10-a), no habria que aclarar que a no puede valer nunca 10, por lo cual la funcion no seria continua?

    replythumb_up0 voto/sflag
    icon

    Antonius Benedictus
    el 25/1/17

    Correcta apreciación, GaiantWolf.  Y también valdría así:


    thumb_up1 voto/sflag
  • icon

    marian baz jimenez
    el 17/12/16

    como se hacia LHopital?

    replythumb_up0 voto/sflag
    icon

    David
    el 20/12/16

    Derivando a numerador y denominador por separado...

    Limite 0/0 con LHOPITAL

    thumb_up0 voto/sflag
  • icon

    Rafa Solis Zapata
    el 30/11/16

    Se puede simplificar el límite utilizando L'Hopital en el minuto 6:22 ya que es 0/0?

    replythumb_up0 voto/sflag
    icon

    David
    el 2/12/16


    thumb_up1 voto/sflag
  • icon

    Sara C.
    el 28/8/16

    No se podría resolver el ejercicio planteando que la primera función (en x->5) debe ser igual a la segunda función (en x->5), resolver el sistema y después averiguar cómo evitar la discontinuidad dándole a "d" el valor adecuado?

    replythumb_up0 voto/sflag
    icon

    David
    el 30/8/16

    Si te da lo mismo sí...

    thumb_up0 voto/sflag
  • icon

    Sebástian
    el 30/4/16

    ¿Para que f(x) sea continua, el dominio debe ser R?
    O puede haber un punto en blanco (vacío).
    ¿Es continua Si la regla de correpondencia de la funcion a trozos esten solo dos funciones, x ejemplo,si fuera x5?

    replythumb_up0 voto/sflag
    icon

    David
    el 30/4/16

    Una cosa es la continuidad y otra el dominio.. Una función puede tener su dominio exclusivamente en el intervalo (-2,5), por ejemplo, y ser continua en todo su dominio...

    thumb_up0 voto/sflag
  • icon

    kiwifix
    el 16/4/16

    En el primer limite no habría sido más fácil hacer l'hopital?

    replythumb_up1 voto/sflag
  • icon

    Madeline
    el 5/1/16

    Solo una pregunta aún no me queda del tooooooodo claro, cuando tengamos un número cualquiera entre cero, no podemos factorar a manera que nos quede un número finito al evaluar el límite, si no que a ley debe quedar una indeterminación 0/0 ?

    replythumb_up0 voto/sflag
    icon

    David
    el 5/1/16

    Un numero (que no sea 0) entre 0 es infinito... Y tendrás que hallar los limites laterales (para saber si es +∞ o -∞)

    thumb_up0 voto/sflag
  • icon

    David
    el 8/2/15

    Hola,
    Creo que los vídeos podrían nombrase mejor, quiero decir , este debería ser discontinuidad02 y el de discontinuidad02 el 01. porque en este se dan más cosas por sentado, sin embargo en el 02, se explica casi desde cero.
    Aún así enhorabuena y mil gracias por vuestro excelente trabajo.

    replythumb_up4 voto/sflag
    icon

    David
    el 8/2/15

    Tomo nota. Un abrazo!

    thumb_up3 voto/sflag
  • icon

    Guillermo
    el 17/12/14

    y entonces la respuesta sería qué no existe ningún C en R que satisfaga la condición continuidad

    replythumb_up0 voto/sflag

    Usuario eliminado
    el 17/12/14

    Lo mismo de antes ;-)

    thumb_up0 voto/sflag
  • icon

    Guillermo
    el 17/12/14

    al principio cuando dice que C es igual a 35 sin haber calculado la indeterminación, se puede estar seguro de eso? porque posiblemente la indeterminaciónpudo haber sido infinito

    replythumb_up0 voto/sflag
  • icon

    Alex
    el 15/12/14

    Hola, tengo una duda en el 5:02, en el límite de x que tiende a 5 en la función x^2-12x+35 / x-5-

    ¿Por qué tiende a 5 simplemente y no a 5 por la izquierda? Antes habíamos hecho para la misma función el límite de x que tiende a 5 por la izquierda (5-)



    Gracias:)

    replythumb_up0 voto/sflag

    Usuario eliminado
    el 15/12/14

    Efectivamente es por la izquierda como dices.
    Al reproducir los videos hay que activar las anotaciones en el icono configuración del reproductor de video. Seguramente esté ya anotado el gazapo al que has hecho referencia. ;-)

    thumb_up0 voto/sflag
  • icon

    Alejandro
    el 14/12/14
    flag

    Hola, realize estos ejercicios pero aun no se si estan resultos de la manera correcta

    replythumb_up0 voto/sflag

    Usuario eliminado
    el 14/12/14

    Hola Alejandro.
    Sube por favor la foto al foro de mates, desde allí podremos ayudarte. Las preguntas que dejes aquí deben referirse al video que acompaña. Gracias

    thumb_up1 voto/sflag