¡UPS! Para ver vídeos en la web debes estar registrado, es totalmente gratuito.

Recuerda además que sólo por ser unicoo, GRATIS, podrás dejar tus dudas en los foros de beUnicoos, acumularás energy y help points y ganarás decenas de medallas. Registrarte solo te llevará unos segundos. Nosotros somos unicoos ¿y tú? #nosvemosenclase

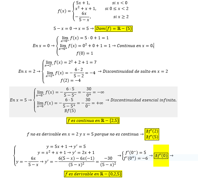
Continuidad y limites laterales

Hallaremos diferentes LIMITES LATERALES y en el infinito de una función a partir de su gráfica. Despues, comprobaremos si el limite existe (cuando los limites laterales coincidan) y el tipo de discontinuidad (si la tuviera) que presenta en los puntos "conflictivos". Podrá ser CONTINUA, INEVITABLE DE SALTO FINITO (o INFINITO) o DISCONTINUA EVITABLE. Tambíen explicaré por encima la posibilidad de que exista alguna ASINTOTA (horizontal o vertical)...

Minuto 3:23 Durante 10 segundos entré en modo "EMPANEITOR 3.0" y confundí IZQUIERDA Y DERECHA al explicarlo . Y eso que me harté de ver a Coco en Barrio Sesamo. Entre que soy zurdo y que estoy mirando a la camara... Los resultados de los limites laterales están bien...

Agregar a mi mochila
0/ 676

* Para utilizar tu mochila o guardar tu progreso y acumular energy points debes ser usuario registrado. Regístrate o inicia sesión

Material adicional

* Los materiales marcados con el símbolo de la estrella () sólo serán accesibles para usuarios PRO. Conviértete en PRO

Foro de preguntas y respuestas

logo beUnicoos
Los foros de unicoos se han unificado en nuestra nueva plataforma beUnicoos. Para dejar nuevas preguntas deberás hacerlo allí, donde además podrás encontrar nuevas asignaturas y herramientas para ayudarte más con tus estudios.
  • Usuario eliminado
    el 21/10/19
    flag

    Mañana tengo un examen, y me he quedado estancada en este problema donde no se hacer nada.¿ Alguien podria explicarme lo que tengo que hacer en cada apartado ?

    replythumb_up0 voto/sflag
    icon

    Breaking Vlad
    el 24/10/19
    Flag pendiente

    Se trata de que DESPUES DE IR A CLASE (ver los vídeos relacionados con vuestras dudas) enviéis dudas concretas, muy concretas. Y que nos enviéis siempre también todo aquello que hayais conseguido hacer por vosotros mismos. Paso a paso, esté bien o mal. No solo el enunciado. De esa manera podremos saber vuestro nivel, en que podemos ayudaros, cuales son vuestros fallos.... Y el trabajo duro será el vuestro.

    thumb_up2 voto/sflag
  • icon

    Beatriz
    el 20/5/19

    Hola, mñn tengo un examen de mates y este ejercicio no lo encuentro en los apuntes no sé si es porque me faltan algunos: 

    El límite de     f(x)=√x-1 cuando x-> 2 es:

    a. 1

    b. -1

    c. No existe el límite

    replythumb_up0 voto/sflag
    icon

    Antonius Benedictus
    el 20/5/19

    Si el 1 está dentro del radical, el límite existe y vale 1.

    En caso de que esté fuera, el límite existe y vale: (√2)-1

    thumb_up0 voto/sflag
  • icon

    M_3
    el 25/4/19

    hola, necesito ayuda con los apartados a) y b), por más que los intento siempre me da que la función no es continua. Tengo que entregarlo mañana, ¿sabe alguien como hacerlos?

    replythumb_up0 voto/sflag
    icon

    Antonius Benedictus
    el 25/4/19


    thumb_up1 voto/sflag
  • icon

    inpernu
    el 16/12/18

    hola, gracias a ti apruebo, tus videos me ayudan un montón, muchas gracias!


    ¿podrías resolver este ejercicio? es sobre continuidad, pero al ser la función a trozos y encima racional, no sé qué puntos tengo que analizar

    replythumb_up0 voto/sflag
    icon

    Antonius Benedictus
    el 16/12/18

    Sube el ejercicio al foro de Matemáticas, por favor.

    thumb_up2 voto/sflag
  • icon

    Ana
    el 10/12/18

    Hola, podrías resolver este ejercicio?

    Tus videos son de gran ayuda, muchísimas gracias

    replythumb_up0 voto/sflag
    icon

    Antonius Benedictus
    el 10/12/18


    thumb_up1 voto/sflag
  • icon

    Raúl Ulivarri Rodi
    el 12/9/18

    Hola. en el minuto 8:30 cuando dice que la función es discontinua inevitable en x=0, se llamaría "discontinua de salto infinito" (porque los límites laterales son infinito)? O en este caso NO sería de salto ya que los límites son iguales?? En otras palabras, es discontinua de salto solamente cuando los límites laterales son distintos??

    replythumb_up0 voto/sflag
    icon

    Antonius Benedictus
    el 13/9/18

    Aquí tienes la clasificación de discontinuidades. De todos modos, los nombre pueden variar de un texto a otro. Son detalles menores:

    https://es.wikipedia.org/wiki/Clasificaci%C3%B3n_de_discontinuidades


    thumb_up1 voto/sflag
  • icon

    Fátima
    el 11/5/18

    En el lim f (x)=2

             x→-4-

             lim f (x)=-1

             x→-4+

    hay que poner la imagen? es que en el último apartado tampoco existe el límite y ha puesto la imagen... en este caso la imagen sería 2? 

    f (-4) = 2

    replythumb_up0 voto/sflag
    icon

    Antonius Benedictus
    el 11/5/18

    No existiendo límite, la función no es continua, sea cual fuere la imagen.

    thumb_up0 voto/sflag
  • icon

    Mihaela
    el 15/4/18
    flag

    Hola me podría ayudar con estos ejercicios?

    replythumb_up0 voto/sflag
    icon

    Antonius Benedictus
    el 16/4/18

    Sube la duda al foro de Matemáticas.

    thumb_up0 voto/sflag
  • icon

    Joan Ortiz Cervera
    el 6/4/18

    Hola Unicoos,

    Buenos días, podrían hacer un vídeo en el que se expliquen todos los tipos de discontinuidades y la razón de ser de ellas?

    Gracias de antemano.

    replythumb_up1 voto/sflag
    icon

    Antonius Benedictus
    el 10/4/18

    Ya los tienes.

    thumb_up0 voto/sflag
  • icon

    Bryan Andrés
    el 6/11/17

    hola podrian ayudar con unos ejercicios?

    1. estudia la continuidad de la funcion f(X)=x2-5x+6/x2-2x-3 y f(X)=1-raiz de x-4 / x2-7x+10

    2. calcula los siguientes lim: lim cuando x tiende a infinito ( raiz de x2+x+1 - raiz de x2-2x+2 )


    gracias de antemano


    replythumb_up0 voto/sflag
    icon

    Antonius Benedictus
    el 6/11/17

    Sube al foro de Mates una foto de los enunciados originales.

    thumb_up3 voto/sflag
  • icon

    Paco Acosta
    el 9/10/17

    Hola, necesitaria como hacer los siguientes ejercicios. Estoy en bach a distancia y con los apuntes que me dan no consigo hacer nada.

    replythumb_up0 voto/sflag
    icon

    Antonius Benedictus
    el 9/10/17

    Súbelos al foro paulatinamente, a ver si entre todos podemos ayudarte.

    thumb_up0 voto/sflag
  • icon

    Rut Gand Rød
    el 7/7/17

    hola, necesito ayuda por favor.

    hallar el valor del Lim X→0 (1/x − 1⁄ Ιn(1+x), donde Ln X es el logaritmo neperiano de X.

    replythumb_up1 voto/sflag
    icon

    Antonius Benedictus
    el 7/7/17


    thumb_up1 voto/sflag
  • icon

    Adolfo Sebastian Monje Perez
    el 22/6/17

    Buenas, como hago para hallar el limite de la sgte funcion?

    Lim x tiende a 1 de (ln x)/(x-1) - 1/ln(1-x)

    replythumb_up0 voto/sflag
    icon

    Antonius Benedictus
    el 22/6/17


    thumb_up1 voto/sflag
  • icon

    Eric Martinez
    el 20/4/17

    Has hecho algún vídeo de limites laterales sin la gráfica?

    replythumb_up0 voto/sflag
    icon

    David
    el 26/4/17

    Sí, muchos.. Todos los de discontinuidad y asintotas...


    thumb_up2 voto/sflag
  • icon

    Ángela
    el 1/8/16

    ¿Dónde sigue la parte de asíntotas? ¡No lo encuentro! Gracias de antemano

    replythumb_up0 voto/sflag
    icon

    David
    el 1/8/16

    Busca "asintota" o "asintotas"... Encontrarás muchos vídeos.. #nosvemosenclase

    thumb_up1 voto/sflag
  • icon

    Marta
    el 5/6/16
    flagflagflag

    Se considera la función f(x)= (x+t)² si x0
    ¿Para qué valor de la t la función f(x) es continúa en x=0?

    Viendo los resultados que me da el ejercicio no me sale bien. ¿Como se haría?

    replythumb_up1 voto/sflag
    icon

    David
    el 6/6/16

    Para dudas que no tienen que ver explicitamente con el vídeo, lo ideal es que uséis los foros generales de matemáticas, física y química
    Se trata de que DESPUES DE IR A CLASE (ver los vídeos relacionados con vuestras dudas) enviéis dudas concretas, muy concretas. Y que nos enviéis también todo aquello que hayais conseguido hacer por vosotros mismos. Paso a paso, esté bien o mal. No solo el enunciado. De esa manera podremos saber vuestro nivel, en que podemos ayudaros, cuales son vuestros fallos.... Y el trabajo duro será el vuestro. #nosvemosenclase Nos cuentas ¿ok?

    Echale un vistazo antes al video de DISCONTINUIDAD 01 de esta misma lección..

    thumb_up1 voto/sflag
  • icon

    aida
    el 28/4/16

    Hola, después de ver el video al principio sobre el minuto 3:20 cuando dices el limite de -4- por la derecha señalas la izquierda y -4+ dices a la izquierda señalas la derecha, es todo a la inversa, me que quedado un poco pillailla porque soy un poco dislexica jajaja, es un pequeño error pero bueno por si no lo habías visto... después queda aclarado cuando ves todo el video. Gracias por los videos¡¡¡ Un saludo

    replythumb_up0 voto/sflag
  • icon

    Josefgurru
    el 13/1/16

    ¿Como se calcula un limite lateral de una asintota vertical si no tengo la grafica?(si no me entiendes tepuedo subir la foto de un ejercicio correjido)

    replythumb_up1 voto/sflag
  • icon

    vicente sepulveda urzua
    el 7/9/15

    Después de ver el vídeo sigo teniendo una duda. Como se cuando una función es continua, y también si hay alguna fórmula para saberlo o sólo teoría. De antemano gracias

    replythumb_up0 voto/sflag
    icon

    David
    el 8/9/15

    Echale un vistazo... Dominio de una funcion Debería servirte con eso... Abrazos!

    thumb_up3 voto/sflag
  • icon

    Juanjo
    el 30/8/15

    Hola, para hacer el límite señalado con la flecha roja, en el 3:05, ¿por qué tienes en cuenta el "trozo" de la función rodeado en rojo y no el de verde, que es por donde "empezaría" la función? Gracias.

    replythumb_up0 voto/sflag
    icon

    David
    el 31/8/15

    ¿¿???? Si te acercas al -4 por su derecha, es decir para valores muy muy muy proximos a -4 (el -3.9, -3.99, -3.999999), la función se acerca cada vez más a ........ -1

    thumb_up0 voto/sflag
  • icon

    susana
    el 26/8/15

    una funcion solo es discontinua evitable cuando los limites laterales son iguales??

    replythumb_up1 voto/sflag
    icon

    David
    el 29/8/15

    Sí, siempre y cuando los limites laterales no coincidan también con el valor de la funcion en ese punto...

    thumb_up4 voto/sflag
  • icon

    Aaron
    el 18/2/15

    Que videos me aconsejas para poder llevar a cabo este tipo de ejercicio? Gracias de antemano y gracias por todos los vídeos!

    replythumb_up0 voto/sflag
    icon

    walter
    el 19/2/15

    fíjate en los vídeos de funciones a trozos discontinuidad 2 y 3 . están en 1º bachiller / limites y continuidad

    thumb_up2 voto/sflag
  • icon

    Marcos_uned
    el 30/12/14
    flag

    Buenos días David, tengo un problema que me esta volviendo loco y no se en que me equivoco. Es el siguiente: en mi resultado me sale a=1 y en la solución me marca a=1/2.

    "Hallar el valor de 'a' para que la función sea continúa en x=1"

    | ax si x (menor o igual) a 1
    f(x) = |
    | x - a Si x > a 1

    Muchas gracias por adelantado.

    replythumb_up0 voto/sflag

    Usuario eliminado
    el 31/12/14

    Hola Marcos
    Haznos esta pregunta en el foro de mates. Aquí debemos formular preguntas sobre el video en cuestión

    thumb_up1 voto/sflag
  • icon

    keivin
    el 25/12/14
    flag

    Con el respeto que se merece... espero que me pueda ayudar, ahí le dejo una foto

    replythumb_up0 voto/sflag
    icon

    David
    el 26/12/14

    Para preguntas que no tienen que ver explicitamente con cada vídeo, debes usar los foros generales de cada asignatura...... Trata además, sobre todo cuando son dudas universitarias de srer más concreto y aportar todo lo que hayas conseguido por ti mismo, paso a paso, esté bien o mal.. De lo contrario será muy dificil ayudaros. ANIMO!

    thumb_up0 voto/sflag
  • icon

    Alexis
    el 11/12/14

    En el minuto 3:25 dices que la "Y" es -2 en "X = -4" cuando realmente es "2" y hasta tu mismo pusiste el resultado en 2 XD....

    replythumb_up0 voto/sflag