¡UPS! Para ver vídeos en la web debes estar registrado, es totalmente gratuito.

Recuerda además que sólo por ser unicoo, GRATIS, podrás dejar tus dudas en los foros de beUnicoos, acumularás energy y help points y ganarás decenas de medallas. Registrarte solo te llevará unos segundos. Nosotros somos unicoos ¿y tú? #nosvemosenclase

Elipse 02

Este es el segundo de una serie de tres videos dedicados a la elipse.
A partir de la ecuacion reducida de una elipse obtendremos los valores del eje mayor (2a), el eje menor (2b), la distancia focal (2c) y la excentricidad (e=c/a). También dibujaremos la elipse y los focos C y C' y los vertices A, A', B y B'.

Agregar a mi mochila
0/ 436

* Para utilizar tu mochila o guardar tu progreso y acumular energy points debes ser usuario registrado. Regístrate o inicia sesión

Material adicional

* Los materiales marcados con el símbolo de la estrella () sólo serán accesibles para usuarios PRO. Conviértete en PRO

Foro de preguntas y respuestas

logo beUnicoos
Los foros de unicoos se han unificado en nuestra nueva plataforma beUnicoos. Para dejar nuevas preguntas deberás hacerlo allí, donde además podrás encontrar nuevas asignaturas y herramientas para ayudarte más con tus estudios.
  • icon

    Mario Andres Cervin
    el 10/12/17

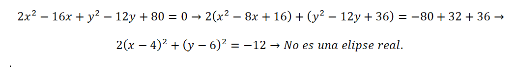
    Hola, tengo un problema con identificar qué cónica es. Me dan la ecuación general de la cónica que es 2x²+y²-16x-12y+80=0. Yo, a partir de esa ecuación, deduzco que es una elipse analizando sus términos que contienen x² e y². Son de signos iguales pero de coeficientes distintos. Pero cuando quiero pasar a la ecuación canónica me queda esto -(x-4)² ⁄6 - (y-6)² ⁄12 = 1 y no sé que hacer. ¿Es una elipse o no? ¿Puedo asegurar a partir de la ecuación general qué tipo de cónica es o no siempre?

    replythumb_up0 voto/sflag
    icon

    Antonius Benedictus
    el 10/12/17


    thumb_up1 voto/sflag
  • icon

    Christopher Jack
    el 17/10/17

    Tengo una duda, ¿Cómo sería una elipse así:  4x^2 + 9y^2 = 4  ?

    replythumb_up0 voto/sflag
    icon

    Antonius Benedictus
    el 17/10/17


    thumb_up2 voto/sflag
  • icon

    Cristóbal Ignacio Altamirano Mardon
    el 1/9/16
    flagflag

    Tengo 1 duda en 1 ejercicio, no he podido resolverlo, sé que hay que reemplazar la ecuación de la recta en la ecuación de la elipse y luego a partir de la discriminante obtener los valores de k, bueno este es el ejercicio:
    Con referencia ala elipse x^2 + 3y^2 + 3x − 4y − 3 = 0 hallar valores de k para los cuales la recta 5x + 2y + k = 0
    • Cortan ala elipse en dos puntos diferentes
    • Cortan la elipse en un punto diferente
    • No cortan a la elipse

    replythumb_up0 voto/sflag
    icon

    David
    el 1/9/16

    Para dudas que no tienen que ver explicitamente con el vídeo, lo ideal es que uséis los foros generales de matemáticas, física y química

    Se trata ADEMÁS de que DESPUES DE IR A CLASE (ver los vídeos relacionados con vuestras dudas) enviéis dudas concretas, muy concretas. Y que nos enviéis también todo aquello que hayais conseguido hacer por vosotros mismos. Paso a paso, esté bien o mal. No solo el enunciado. De esa manera podremos saber vuestro nivel, en que podemos ayudaros, cuales son vuestros fallos.... Y el trabajo duro será el vuestro. #nosvemosenclase Nos cuentas ¿ok?



    thumb_up1 voto/sflag
  • icon

    arnau
    el 9/8/15
    flagflag

    4/9 x^2+9/4 y^2=1 En el caso de que la ecuacion nos la den asi? Dos fracciones multiplicando a las X al cuadrado y las Y al cuadrado?

    replythumb_up1 voto/sflag
    icon

    David
    el 10/8/15

    No entiendo bien lo que quieres expresar porque creo que te has comido parentesis....
    ¿Es (4/9)x²+ (9/4)y²=1?... En ese caso, divide todos los terminos por 36...
    Te quedará 4x²/(9.36)+ 9y²/(4.36)=1/36... Simplifica... x²/81+ y²/16=1/36
    ¿mejor?

    thumb_up2 voto/sflag
  • icon

    martyn
    el 9/3/15
    flagflag

    ¿Cómo puedes hallar la fórmula de una elipse a partir de los focos y de la excentricidad?

    replythumb_up1 voto/sflag