¡UPS! Para ver vídeos en la web debes estar registrado, es totalmente gratuito.

Recuerda además que sólo por ser unicoo, GRATIS, podrás dejar tus dudas en los foros de beUnicoos, acumularás energy y help points y ganarás decenas de medallas. Registrarte solo te llevará unos segundos. Nosotros somos unicoos ¿y tú? #nosvemosenclase

Aproximacion de Binomial a Normal - Correccion de YATES

Resolveremos un ejercicio de 2º de BACHI, en este caso de aproximacion de una DISTRIBUCION BINOMIALa NORMAL En este caso aplicaremos la CORRECCION de YATES, pese a que podiamos hacer el ejercicio simplemente con el Teorema de MOIVRE LAPLACE. Para ello, a partir del tamaño de la muestra (n), y los valores de p y q (probabilidad del suceso y del suceso contrario), obtendremos los valores de la media y la desviacion tipica, para posteriormente poder tipificar...

Os recomiendo visiteis otros videos de distribuciones en esta seccion de la web...

Agregar a mi mochila
0/ 629

* Para utilizar tu mochila o guardar tu progreso y acumular energy points debes ser usuario registrado. Regístrate o inicia sesión

Foro de preguntas y respuestas

logo beUnicoos
Los foros de unicoos se han unificado en nuestra nueva plataforma beUnicoos. Para dejar nuevas preguntas deberás hacerlo allí, donde además podrás encontrar nuevas asignaturas y herramientas para ayudarte más con tus estudios.
  • icon

    Carol
    el 29/5/19

    En este caso la corrección de yates se ve fácilmente, pero ¿cómo podemos distinguir si tenemos que sumar o restar 0.5 en un ejercicio en que en lugar de decir que la probabilidad se encuentra entre dos valores nos den sólo uno?

    Me refiero a que te pidan la probabilidad de que x sea mayor que 15 por ejemplo

    replythumb_up0 voto/sflag
  • icon

    Paulo Nantes
    el 19/5/18

    Si en un problema te dice que el 7% de pantalones estan rotos de un total de 80 pantalones.Y te pide la posibilidad de que te toquen entre 8 y 10 pantalones defectuosos.Se supone que la "p" es 0,07 y la "q" es 0,93?



    replythumb_up0 voto/sflag
    icon

    Antonius Benedictus
    el 19/5/18

    ¡Correcto!

    thumb_up0 voto/sflag
  • icon

    Lsslie
    el 10/5/18

    Entonces en la corrección de Yates solo hay que restar y sumar 0,5 al principio ??? Gracias !!

    replythumb_up0 voto/sflag
    icon

    Antonius Benedictus
    el 10/5/18

    Más o menos...

    thumb_up0 voto/sflag
  • icon

    Celia Rodriguez Garcia
    el 22/2/18

    Buenos días, tengo una duda sobre la corrección de Yates. En el vídeo me queda claro que se resta 0,5 a un lado del intervalo y se suma en el otro (supongo que para ampliar el intervalo), pero en mi libro de matemáticas la explicación me lía un poco y me gustaría que me la intentaseis aclarar si podéis. Aprovecho para escribir otra duda que tengo, y es que si para selectividad tengo que hacer siempre la corrección de Yates o como dice en la imagen de mi libro debo dejar de lado la diferencia entre las variables si no se me pide específicamente. Dejo una imagen de la explicación, ¡¡gracias de antemano!!


    replythumb_up0 voto/sflag
    icon

    Antonius Benedictus
    el 22/2/18

    La explicación es la siguiente: pasamos de una variable discreta (la binomial) a una variable continua. La variable discreta solo tiene probabilidad en algunos valores sueltos (por ejemplo X=3). Al pasar a una continua (en la que solo los intervalos tienen probabilidad), el valor suelto X=3 "se hincha" en el intervalo (2.5, 3.5)

    thumb_up1 voto/sflag
  • icon

    Beatriz Maestre Garcia
    el 3/9/17

    Y el último:

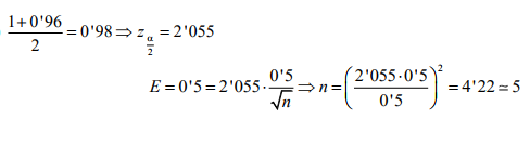
    El tiempo que se tarda en la caja de un supermercado en cobrar a los clientes sigue una ley Normal con media desconocida y desviación típica 0'6 minutos.

    Indica el tamaño muestral mínimo necesario para estimar dicho tiempo medio con un error máximo de 0'4 y un nivel de confianza del 96%


    Gracias de antemano 

    replythumb_up0 voto/sflag
    icon

    Antonius Benedictus
    el 3/9/17


    thumb_up0 voto/sflag
  • icon

    Beatriz Maestre Garcia
    el 3/9/17

    Otro ejercicio de distribución :

    En una empresa de gas trabajan 150 personas de mantenimiento, 450 en operaciones, 200 en servicios y 100 en cargos directivos. Con objeto de realizar una encuesta laboral, se quiere seleccionar una muestra de 180 trabajadores de esa empresa por muestreo estratificado con afijación proporcional.

    ¿Qué n° de trabajadores se debe elegir de cada grupo?

    replythumb_up0 voto/sflag
    icon

    Antonius Benedictus
    el 3/9/17


    thumb_up0 voto/sflag
  • icon

    Beatriz Maestre Garcia
    el 3/9/17

    Buenas tardes

    Mñn tengo un examen de recuperación de los temas de distribución normal y muestreo y estadísticas inferencial. Me podrías ayudar con algunos ejercicios?

    El ejercicio dice:

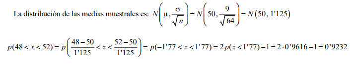
    En una población,  una variable aleatoria X sigue una distribución  Normal de media 50 y desviación típica 9. Se elige, al azar, una muestra de tamaño 64 de esa población  ¿cuál  es la probabilidad de que la media muestral esté  comprendida entre 48 y 52?

    replythumb_up0 voto/sflag
    icon

    Antonius Benedictus
    el 3/9/17


    thumb_up0 voto/sflag
  • icon

    Arnau Buñol
    el 27/3/17

    Hola David, tengo dos preguntas.

    Porque cuando haces la corrección de yates en el primer < pones < y no el < con el igual??

    Y la otra es porque en el minuto 6:00 yo extraigo la conclusión de lo que dices de que si cambiamos el sentido de la flecha (<) desaparece el igual. Es correcto?

    replythumb_up0 voto/sflag
    icon

    Antonius Benedictus
    el 27/3/17

    En una variable continua los valores sueltos no tienen probabilidad. p(X<a)=p(X<=a).

    Lo otro:

    Pasa al suceso contrario, y el contratrio de Z>a  es Z<=a  (en este caso, lo mismo que Z>a).

    thumb_up0 voto/sflag
  • icon

    Alberto
    el 20/4/16
    flag

    Una pregunta, podrías subir un video explicando las distribuciones de Poisson, porfavor??

    replythumb_up2 voto/sflag
    icon

    David
    el 24/4/16

    No, lo siento... Aunque a veces hago excepciones, unicoos por ahora se queda en bachiller.

    thumb_up0 voto/sflag
  • icon

    NataliaGD
    el 25/6/15

    Hola, una pregunta, el valor de 0.5 que se le resta a 180 y se le suma a 210 es el valor de p o es 0.5 siempre?
    Gracias de antemano.

    replythumb_up0 voto/sflag
    icon

    David
    el 25/6/15

    Sí.

    thumb_up1 voto/sflag