¡UPS! Para ver vídeos en la web debes estar registrado, es totalmente gratuito.

Recuerda además que sólo por ser unicoo, GRATIS, podrás dejar tus dudas en los foros de beUnicoos, acumularás energy y help points y ganarás decenas de medallas. Registrarte solo te llevará unos segundos. Nosotros somos unicoos ¿y tú? #nosvemosenclase

Distribución normal 02

Correspondiente a 2º de BACHILLER, resolveremos un ejercicio de distribución normal. A partir de la media y el resultado de una probabilidad en particular, obtendremos la desviacion tipica correspondiente a la distribucion normal planteada.

Agregar a mi mochila
0/ 634

* Para utilizar tu mochila o guardar tu progreso y acumular energy points debes ser usuario registrado. Regístrate o inicia sesión

Foro de preguntas y respuestas

logo beUnicoos
Los foros de unicoos se han unificado en nuestra nueva plataforma beUnicoos. Para dejar nuevas preguntas deberás hacerlo allí, donde además podrás encontrar nuevas asignaturas y herramientas para ayudarte más con tus estudios.
  • icon

    Fernando Fernández Álvarez
    el 22/9/18

    Hola Unicoos.

    En 2:13 en el vídeo transformas el intervalo anterior a P(x <= 80). En esa resta, ¿no estarías quitando de la inecuación el valor "80" de la x?

    ¡Gracias!

    replythumb_up0 voto/sflag
    icon

    Antonius Benedictus
    el 22/9/18

    En las distribuciones continuas, y la normal lo es, los valores sueltos no tienen probabilidad. Por eso, es lo mismo:

    p(X<80) que p(Xz<=80).


    thumb_up0 voto/sflag
  • icon

    Celia Rodriguez Garcia
    el 12/2/18

    Buenos días, tengo una duda respecto a los términos "menor/mayor que" y "menor/mayor o igual que" y es que no se cuándo ni por qué en unas situaciones se pone uno u otro. Por ejemplo:

    P(z > n) = 1- P(z ≤ n)

    ¿Por qué primero es mayor que y luego menor o igual que?

    PD: Lo que me lía es lo del igual no lo del cambio de signo. ¡Gracias!

    replythumb_up0 voto/sflag
    icon

    Antonius Benedictus
    el 12/2/18

    En la distribución normal, que es continua, los valores aislados no dan probabilidad, solo los intervalos, por lo que no te has de complicar.

    En las variables discretas, aplica  el sentido común. Por ejemplo: lo contrario de "mayor que n" es "menor o igual que n".

    thumb_up3 voto/sflag
  • icon

    Beatriz Maestre Garcia
    el 4/9/17

    Sería mejor resolverlo con una caja?

    replythumb_up0 voto/sflag
    icon

    Antonius Benedictus
    el 4/9/17

    Lo dicho.

    thumb_up0 voto/sflag
  • icon

    Beatriz Maestre Garcia
    el 4/9/17

    Buenas tardes  David, me lio un poco en un ejercicio, te agradecería mucho tu ayuda

    El ejercicio dice:

    Un turista que realiza un crucero tiene un 50% de probabilidad de visitar Cádiz, un 40% de visitar Sevilla y un 30% de visitar ambas.

    Calcula la probabilidad de que:

    a) Visite al menos una de las dos

    b) Visite únicamente  una de las dos

    c) Visite Cádiz pero no Sevilla

    d) Visite Sevilla sabiendo que ha visitado Cádiz

    Muchas gracias 😊

    replythumb_up0 voto/sflag
    icon

    Antonius Benedictus
    el 4/9/17

    Este ejercicio no es de distribución normal, Beatriz. Sube tu duda al foro de Matemáticas.

    thumb_up0 voto/sflag
  • icon

    Igone
    el 23/4/17
    flag

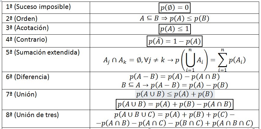
    Estoy estudiando mates aplicadas a las ciencias sociales por mi cuenta y no encuentro las propiedades de la probabilidad. ¿Cuáles son? 

    replythumb_up0 voto/sflag
    icon

    Antonius Benedictus
    el 23/4/17


    thumb_up2 voto/sflag
  • icon

    Jorge
    el 5/3/16
    flagflag

    Hola David!
    Buen vídeo, pero tengo una duda que no he visto por ningún vídeo de distribución normal, no sé si es que me he saltado alguno, pero aquí te la lanzo:
    En el caso de que la probabilidad final fuera menor que 0.5, ¿cómo se calcularía la media o la desviación típica?. En mis tablas sólo aparecen valores a partir de 0.5, de ahí mi pregunta.
    Nada más, enhorabuena por la página, y saludos!

    replythumb_up0 voto/sflag
    icon

    David
    el 5/3/16

    Creo entenderte pero no puedo ayudarte sin ver el enunciado... ¿nos dejas el enunciado exacto y literal y tu duda concreta en el foro de matematicas¿?

    thumb_up0 voto/sflag