¡UPS! Para ver vídeos en la web debes estar registrado, es totalmente gratuito.

Recuerda además que sólo por ser unicoo, GRATIS, podrás dejar tus dudas en los foros de beUnicoos, acumularás energy y help points y ganarás decenas de medallas. Registrarte solo te llevará unos segundos. Nosotros somos unicoos ¿y tú? #nosvemosenclase

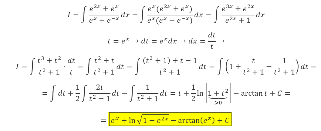
Integral con cambio de variable 03

Correspondiente a 2º de BACHILLER, calcularemos dos INTEGRALES. La primera, inmediata, de tipo logaritmo neperiano f'/f y la segunda por cambio de variable hasta obtener la integral de la arcotangente de una funcion.

Agregar a mi mochila
0/ 629

* Para utilizar tu mochila o guardar tu progreso y acumular energy points debes ser usuario registrado. Regístrate o inicia sesión

Material adicional

* Los materiales marcados con el símbolo de la estrella () sólo serán accesibles para usuarios PRO. Conviértete en PRO

Foro de preguntas y respuestas

logo beUnicoos
Los foros de unicoos se han unificado en nuestra nueva plataforma beUnicoos. Para dejar nuevas preguntas deberás hacerlo allí, donde además podrás encontrar nuevas asignaturas y herramientas para ayudarte más con tus estudios.
  • icon

    David Valenzuela Martinez
    el 6/11/19

    No sería más facil 1/x1/2  *Ln(1+x)??? 

    replythumb_up0 voto/sflag
    icon

    David
    el 29/1/20

    Lo siento, no entiendo tu duda...

    thumb_up0 voto/sflag
  • icon

    Jesus miguel
    el 5/1/19
    Flag pendiente

    Hola profesor David. Gracias por todos sus vídeos, son de gran ayuda para mi y sé que para otros millones de estudiantes. Quería pedirle ayuda en este ejercicio. .

    replythumb_up0 voto/sflag
  • icon

    Enrique
    el 14/1/18

    David, no he entendido porque has puesto lo de 2t dt en la integral. ¿No se dejaria el dx para poder integrar? Un saludo y muchas gracias por ayudarnos a aprobar

    replythumb_up0 voto/sflag
    icon

    David
    el 1/2/18

    Te sugiero revises detenidamente el video pues precisamente al hacer cambio de variable el objetivo es que desaparezcan las "x" e integrar en función de "t".

    thumb_up1 voto/sflag
  • icon

    Alba
    el 24/8/17

    Partiendo de que la solución es esta:      arctg (e^(x) +1) + C

    ¿Cómo se solucionaría la siguiente integral?    ∫ e^x  / ( e^2x + 2e^x + 2 ) dx

    Teniendo en cuenta que el denominador se puede factorizar: (e^2x + 2e^x + 2) = (e^x + 1)^2

    y que, si no me equivoco,el cambio de variable sería este:       t = e^x               dt = e^x dx

    siendo la nueva integral:  ∫ 1 / ( t + 1)^2  dt

    ¿cómo paso de esta integral a esta otra ∫ 1 / ( t + 1)^2 +1  dt , para obtener ese resultado?


    Y, por favor, si me estoy equivocando en algún paso intermedio decídmelo.

    replythumb_up0 voto/sflag
    icon

    Antonius Benedictus
    el 24/8/17


    thumb_up1 voto/sflag
  • icon

    Íñigo “SUPERIRC” Rodríguez
    el 10/5/17

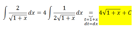
    Me gustaría saber que cambio de variable coger con la integral:        2/ 1+raíz de x

    yo he cogido que t = al denominador y me sale un resultado, pero no se si he calculado bien. Muchas gracias de antemano.

    replythumb_up0 voto/sflag
    icon

    Antonius Benedictus
    el 10/5/17

    Sale, sí. Pero es así más fácil:


    thumb_up1 voto/sflag
  • icon

    Virma
    el 20/2/17

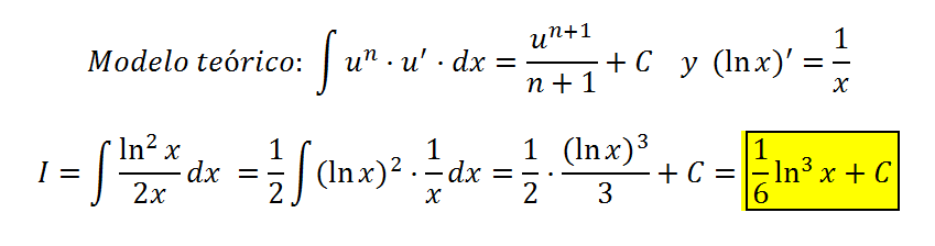
    Podríais ayudarme con la integral de ln^2 de x ,dividido (todo) por 2x?? Seguramente sea muy fácil pero el neperiano al cuadrado me tiene loca. Muchas gracias.

    replythumb_up0 voto/sflag
  • icon

    Elena
    el 5/2/17

    Hola, en primer lugar muchas gracias por todos estos videos. Ahora empiezo a entender las integrales. Y en segundo lugar, en el minuto 8:25 no entiendo por qué pones la raíz de x elevado al cuadrado, o sea, que no se de donde lo sacas. Posiblemente sea una tontería, pero no lo consigo entender. Muchas gracias


    replythumb_up2 voto/sflag
    icon

    Antonius Benedictus
    el 5/2/17

    Expresa x como el cuadrado de su propia raíz cuadrada para que la expresión se asemeje a 1+X^2,  y de este modo identificar la derivada del arctan.

    thumb_up3 voto/sflag
  • icon

    Juanjo Osorio
    el 14/1/17

    ¿en el minuto 7.16 por qué sacas el dos, no puedes hacerla directa y te sale arctg(t^2)?


    replythumb_up0 voto/sflag
    icon

    David
    el 18/1/17

    CUIDADO!!! En todo caso 2.artang(t)... Revisa las integrales inmediatas

    thumb_up1 voto/sflag
  • icon

    Adrián
    el 18/5/16
    flagflag

    Una pregunta; es bastante tonta muy posiblemente y tras horas de estudio seguramente mi cabeza comete errores absurdos, pero... dices que puedes elevar del denominador la √x diviviendo al uno... pero entonces me encuentro con que eso también sería igual a 1+x / √x; no sé si me explico. Lo que quiero decir es que al tener el (1/√x )/ 1+x, ¿no podría ese 1 + x subir multiplicando al numerador? En ese caso no sería lo mismo.

    Nuevamente pido perdón por si es una estupidez, pero prefiero asegurarme D:

    replythumb_up0 voto/sflag
    icon

    David
    el 20/5/16

    Lo siento, no entiendo tu duda.. ¿que limite te piden hacer?... No es lo mismo (1+x )/ √x que (1/√x )/ (1+x)
    Te sugiero lo escribas en un papel y nos dejes una foto en el foro general de matematicas. Un abrazo...

    thumb_up1 voto/sflag
  • icon

    nei
    el 21/2/16

    holaa, profe tengo una duda , en el minuto 8:20 que no se porque pone la raíz cuadrada , se que quieres que se le parecza a la formula de la arctang pero nose porque lo pones , yo subiria la raiz de x arriba con exp -1/2 y luego x elevado -1 para arriba tambien ,sacando el 1 fuera pero nose... , gracias espero que puedas responderme hoy que tengo el examen mañana jeje muchas gracias ;)

    replythumb_up0 voto/sflag
    icon

    David
    el 24/2/16

    No puedes "subir x^(-1) para arriba" porque esa x está sumando a un 1 (es x+1)....
    Cuidado con ese tipo de simplificaciones... Es como si tienes 1/(2+1) y lo conviertes en 2^(-1)...

    thumb_up1 voto/sflag
  • icon

    Frank
    el 19/1/16
    flagflag

    ayuda con el ejercicio 8 9 11 y 12? por favor

    replythumb_up0 voto/sflag
  • icon

    Ana
    el 16/1/16
    flagflag

    Hola , una pregunta: Si tengo 1/1+raiz cubica de "x" y t=raíz cubica de "x" , resumiendo al sustituir se me queda que 1/1+t por 3t elevado al cuadrado por dt y no sé como se me puede simplificar un poco , puede que sea pasando a arriba 1+t y elevándolo a -1 ???
    Gracias, un saludo .

    replythumb_up0 voto/sflag
    icon

    David
    el 19/1/16

    Lo siento pero no entiendo lo que quieres expresar... Además, no tiene que ver con el ejercicio que hago explicitamente en el video... Te sugiero lo escribas en un papel y nos dejes la foto en el foro general de matematicas. Besos!

    thumb_up0 voto/sflag
  • icon

    laura
    el 4/1/16

    Hola, a mí me surge una duda en la segunda integral, cuando la resuelves sin el cambio de variable. En particular, mi duda es que no entiendo por qué la derivada de (1+raíz x^2) es 1/2raíz x. Yo entiendo que 1/2raíz x es la derivada de (1+raíz x), pero no de (1+raíz x^2). No sé si me he explicado bien...

    Muchas gracias

    replythumb_up0 voto/sflag
  • icon

    Anabel
    el 14/12/15

    No sé si lo he hecho bien, pero creo que la derivada de 2-3e^x es 3e^x y no -3e^x, porque el 3 ya es negativo y, al hacer la derivada de una multiplicación sería: la derivada del primero (o) por el segundo (e^x), que quedaría cero, menos el primero (-3) por la derivada del segundo (-e^x). Por tanto quedaría: 0-(-3)e^x; 3e^x.
    Si no es así resuélvame esa dudilla por favor. Gracias(:

    replythumb_up1 voto/sflag
  • icon

    Marvyn Rodríguez
    el 6/8/15

    Profesor, me podrías explicar en la segunda integral, ¿por qué no se puede hacer el cambio de variable a todo el denominador?

    replythumb_up0 voto/sflag
    icon

    David
    el 10/8/15

    Inténtalo.... Me cuentas ¿ok?

    thumb_up0 voto/sflag
  • icon

    Belen
    el 5/6/15

    Hola, una dudilla:
    Al hacer la derivada de -3e^x , ¿no habría que hacer la derivada como la derivada de una multiplicación? Gracias :)

    replythumb_up0 voto/sflag
    icon

    David
    el 6/6/15

    Te dará lo mismo... Sería 0.e^x + (-3).e^x = -3.e^x... ¿mejor?

    thumb_up0 voto/sflag
  • icon

    Jesús
    el 29/4/15

    ¿Porque en el segundo método de la segunda integral pones directamente raíz de "x" al cuadrado?

    replythumb_up0 voto/sflag
  • icon

    Pro
    el 19/4/15

    Yo lo que he intentado hacer (en la segunda) es meter (1+x) en la √(x) quedando √x(1+x)^2 y sin olvidar la igualdad notable.. le he intentado dar forma de la derivada de la raiz, es decir, de integral inmediata. . Es correcto?

    HE PUESTO POR LA CARA Xs FUERA DE LA RAÍZ!!! En cuyo caso no lleva a nada.. DEJO AQUÍ EL COMENTARIO PARA QUE APRENDAN O CONSOLIDEN EL ERROR
    Es para que veáis que es lo que NO se debe hacer. ahahhahaha ;)

    replythumb_up1 voto/sflag
    icon

    David
    el 20/4/15

    :-)

    thumb_up0 voto/sflag
  • icon

    Tamara
    el 10/1/15

    Como se haría la última integral si en el denominador pusiera raíz de x por 1 menos raíz de x. Gracias ;)

    replythumb_up0 voto/sflag
  • icon

    Sandra Alonso
    el 7/1/15

    Es necesario sacar el 2? gracias

    replythumb_up0 voto/sflag
    icon

    David
    el 8/1/15

    thumb_up2 voto/sflag
  • icon

    sonia
    el 17/12/14

    Porque hay que despejar dx? no entiendo muy bien eso...

    gracias

    replythumb_up0 voto/sflag
    icon

    David
    el 17/12/14

    Para poder sustituir dx en la integral original...
    no podría explicartelo mejor por escrito de lo que intenté hacer en el video...

    thumb_up5 voto/sflag