¡UPS! Para ver vídeos en la web debes estar registrado, es totalmente gratuito.

Recuerda además que sólo por ser unicoo, GRATIS, podrás dejar tus dudas en los foros de beUnicoos, acumularás energy y help points y ganarás decenas de medallas. Registrarte solo te llevará unos segundos. Nosotros somos unicoos ¿y tú? #nosvemosenclase

Primer teorema fundamental del cálculo 01

Estudiaremos brevemente el primer teorema fundamental del calculo (TFC) y su aplicación a dos ejemplos "sencillos". En los siguientes vídeos relacionados, veremos ejemplos más complejos.

Agregar a mi mochila
0/ 284

* Para utilizar tu mochila o guardar tu progreso y acumular energy points debes ser usuario registrado. Regístrate o inicia sesión

Material adicional

* Los materiales marcados con el símbolo de la estrella () sólo serán accesibles para usuarios PRO. Conviértete en PRO

Foro de preguntas y respuestas

logo beUnicoos
Los foros de unicoos se han unificado en nuestra nueva plataforma beUnicoos. Para dejar nuevas preguntas deberás hacerlo allí, donde además podrás encontrar nuevas asignaturas y herramientas para ayudarte más con tus estudios.
  • icon

    Jesus miguel
    el 17/1/19

    Una pregunta profe, en el ejercicio de la tangente. Tenemos que tan(t) no es continua sobre todo x. Porque aplicamos el teorema directo.


    replythumb_up0 voto/sflag
  • icon

    Joan Belinchon
    el 22/3/18

    Hola, donde estan los ejercicios de integrales cuando arriba y abajo son numeros. Gracias


    replythumb_up0 voto/sflag
    icon

    Antonius Benedictus
    el 22/3/18

  • icon

    Jefferson García
    el 13/7/17

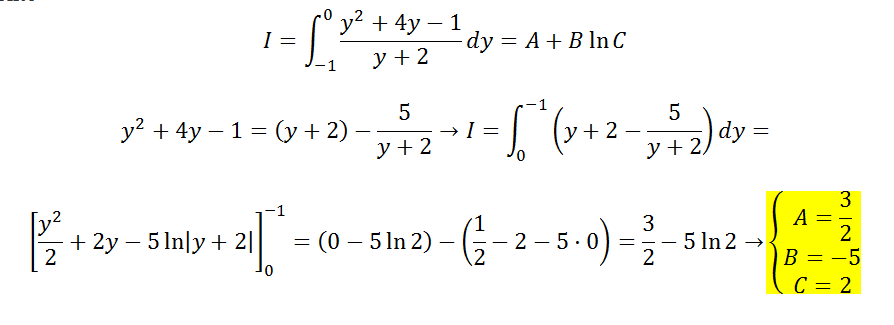
    Buenas noches, tengo un problema con el siguiente ejercicio de integrales: integral de 0 y -1 de ((y^2+4y-1)/(y+2) )dx = A +B ln C.


    Me solicita seleccionar los valores de A, B, C para que el resultado sea correcto.

    a. A=-2,   B=5,     C=2.        b. A=3,    B= 1,     C=2.            c.  A=3/2,   B=-1,     C=32.                     Lo he resuelto no tengo ninguna de las opciones, mi resultado es 3/2 - 5ln2. Me podrían ayudar a ver si estoy equivocado y cuál sería la respuesta correcta. Muchas grass es urgente

    replythumb_up1 voto/sflag
    icon

    Antonius Benedictus
    el 13/7/17


    thumb_up3 voto/sflag
  • icon

    José
    el 28/2/17

    Una pregunta, si f(x) = F´(x), si nos pidieran F(x) ¿sería la integral de F´(x) sin estar dentro de los intervalos?

    replythumb_up0 voto/sflag
    icon

    Antonius Benedictus
    el 28/2/17

    Si nos pidieran la ecuación funcional de F(x) habría que resolver la integral (entre a y x), en efecto.

    A veces no se puede obtener una expresión elemental de ésta.

    Por ejemplo, la integral de Poison-Laplace (o de Gauss): integral entre 0 y x  de e^(-t^2) dt

    thumb_up1 voto/sflag
  • icon

    Mireia Marti
    el 16/2/17

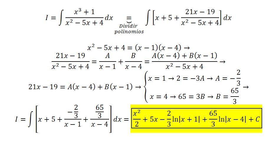
    David, que metodo utilizamos para integrar x3+1 / x2-5x+4? Gracias!

    replythumb_up0 voto/sflag
    icon

    Antonius Benedictus
    el 16/2/17


    thumb_up0 voto/sflag
  • icon

    Guadalupe Minerva Torres Alfaro
    el 14/2/16

    David, en el ejemplo 2 donde el dominio de la integral es de 0 a X el valor que incluye la derivada ¿son solo números positivos? o ¿El valor de la derivada es cero?

    replythumb_up1 voto/sflag
    icon

    David
    el 17/2/16

    La derivada no es nula.
    x puede tomar valores positivos o negativos incluso....

    thumb_up1 voto/sflag